Предметом данного курса является мировая экономика, или мировое хозяйство, которое формировалось на протяжении практически всей истории человечества. Современная мировая экономика представляет собой сложнейшую систему, состоящую из множества взаимосвязанных и взаимодействующих элементов. Ее формирование – закономерный результат процессов международного разделения труда, интернационализации производства, обмена капиталов, потребления.
Масштабные преобразования в экономике России, начавшиеся в конце 80 – начале 90-ых гг. привели к открытости отечественной экономики, формированию рыночной структуры хозяйства, изменению производственных отношений, к структурным социальным сдвигам. В условиях признания отечественной экономики неотъемлемой составной частью мирового хозяйства закономерно возрастает интерес к изучению теории и практики рыночных отношений, международной конкуренции, методам работы корпораций на мировом рынке, международному движению факторов производства. Поэтому важной составной частью курса "Экономика. Базовый курс" является дисциплина "Мировая экономика".
Данная дисциплина включает 8 тем:
· Тема 1. Мировая экономика и мировое хозяйство.
· Тема 2. Международный воспроизводственный процесс.
· Тема 3. Международная торговля.
· Тема 4. Валютные отношения в мировой экономике.
· Тема 5. Международное движение капитала.
· Тема 6. Международный рынок рабочей силы. Международные миграции рабочей силы.
· Тема 7. Интеграционные процессы в мировой экономике.
· Тема 8. Глобальные проблемы в мировой экономике.
В современной научной (экономической) литературе не сложилось единого трактовки понятия "мировая экономика". Используются различные термины "мировая экономика", "мировое хозяйство", "всемирное хозяйство" и т.п.
Можно выделить несколько подходов к определению мировой экономики, которые существуют в отечественной и зарубежной литературе.
При первом подходе мировая экономика понимается как совокупность национальных экономик стран мира, связанных между собой обменом товарами, услугами, и международным движением факторов производства (капиталов и рабочей силы).[1]
Е.Ф. Авдокушин определяет мировое хозяйство следующим образом: "Современное мировое хозяйство - это глобальный экономический организм, совокупность национальных экономик, находящихся в тесном взаимодействии и взаимозависимости, подчиняющийся объективным законам рыночной экономики".[2]
По мнению З.К. Раджабовой мировая экономика - это совокупность национальных экономик стран и отдельных регионов и связывающие их международные отношения.[3]
В другом подходе, наиболее популярном среди зарубежных исследователей, мировая экономика трактуется как система международных экономических взаимоотношений, как универсальная связь между национальными хозяйствами. Однако, при всей важности мировой торговли, движения факторов производства, финансовых взаимоотношений между странами, в данном подходе исчезает из поля зрения собственно производство, которое и определяет уровень развития и структуру международных экономических отношений.
Существует и такой подход, при котором мировое хозяйство трактуется как экономическая система, самовоспроизводящаяся на уровне производительных сил, производственных отношений и определенных аспектов надстроечных отношений в той мере, в которой входящие в него национальные хозяйства обладают определенной совместимостью на каждом из трех названных уровней (Ю.В. Шишков).
В большинстве определений особый упор делается на достигаемый синергетический эффект (результат сложения усилий национальных экономик оказывается больше суммы), который приводит к повышению эффективности мировой экономики и способствует экономическому росту стран мира.
В свете сказанного выше, представляется целесообразным рассматривать мировую экономику (мировое хозяйство) как совокупность национальных экономик всех стран мира, связанных между собой международными экономическими отношениями и участвующих в международном разделении труда.
Термин "всемирное хозяйство" можно признать утратившим научное значение: он употреблялся в отечественной литературе, подразумевая наличие трех подсистем: социалистической, капиталистической и развивающийся мир ("третий мир"). Крах тоталитарных режимов в бывшем СССР, странах Восточной Европы привел к их интеграции в единое мировое хозяйство.
В свою очередь, международные экономические отношения, по определению Е.Ф. Авдокушина, "… включают многоуровневый комплекс экономических отношений между отдельными странами, их региональными объединениями, а также отдельными предприятиями (транснациональными, многонациональными корпорациями) в системе мирового хозяйства. Международные экономические отношения как наука изучает не экономику зарубежных стран, а особенности их экономических отношений. Причем, не любые экономические отношения, а только наиболее часто повторяющиеся, типические, характерные, определяющие отношения".[4]
Мы также понимаем международные экономические отношения как систему устойчивых экономических связей между субъектами мирового хозяйства.
Субъекты мировой экономики – это ее активные участники, творцы, носители предметно-практической деятельности. Субъектами мировой экономики могут быть названы такие хозяйствующие единицы, которые способны (по своим производственным, финансовым и иным возможностям) организовать экономическую деятельность в международном масштабе.
Субъекты мировой экономики структурируются на трех уровнях:
· Микроуровень – уровень субъектов хозяйственной деятельности, т.е. различных предприятий (фирм), включая транснациональные компании.
· Макроуровень – уровень действия различных государственных учреждений и организаций. На этом уровне также формируется среда, в которой действуют другие субъекты хозяйственной деятельности: определяются правила ведения внешнеэкономической деятельности, круг возможных участников, налоговая политика.
· Межгосударственный (мегауровень) – уровень действия различных международных экономических организаций (МВФ, МБРР, ВТО, МОТ, Комиссия ЕС и др.), которые определяют правила взаимоотношений по вопросам внешнеэкономических связей, вырабатываемые по согласованию с государствами – членами этих организаций.
Необходимо отметить, что связи между субъектами мировой экономики носят матричный характер, т.е. реализуются как по горизонтали, так и по вертикали.
С точки зрения международной системы национальных счетов (СНС) к субъектам мировой экономики относятся частные (физические лица) и организации (юридические лица), которые осуществляют деятельность в международном масштабе.
Можно также выделить (по принципу принадлежности к национальной экономике) такие виды субъектов как резиденты и нерезиденты. Резиденты – это хозяйствующие субъекты, которые постоянно находятся на территории данной страны, независимо от национальной или государственной принадлежности. Нерезиденты – это хозяйствующие субъекты, которые постоянно находятся на территории другого государства (даже если они – граждане данной страны), либо филиалами хозяйствующих субъектов данной страны, расположенных за ее границами. СНС не устанавливает разницы между субъектами национальной и международной деятельности, т.к. любой из субъектов в условиях открытой экономики может свободно размещаться на территории любой страны, и участвовать в международной экономической деятельности.
На основе наиболее типичных подходов, сложившихся в научной и научно-методической литературе, можно считать, что структура международных экономических отношений включает в себя:
1. Международное разделение труда.
2. Международная торговля товарами и услугами.
3. Международное движение капиталов и зарубежных инвестиций.
4. Международная миграция рабочей силы.
5. Международный обмен технологиями .
6. Международные валютно-финансовые и кредитные отношения.
7. Международная экономическая интеграция.
В мировой экономике международные экономические отношения играют объединяющую роль, выступают формой существования мирового хозяйства, его внутренним механизмом.
Мировая экономика формировалась на протяжении значительного периода времени, и, разумеется, продолжает развиваться дальше. По вопросу об этапах формирования мировой экономики, стартовому периоду в научной литературе не существует единого мнения. С позиций ряда специалистов[5] исторически первыми стали экономические отношения, связывавшие единую целостность Римской империи, которая была первой всемирной империей, характеризовавшейся единством экономических отношений. Однако такая позиция может быть признана верной лишь с точки зрения европейцев: далеко от Римской империи автономно существовали и развивались экономики, например, Индии и Китая, в которых и не слышали ни о какой Римской империи.
Некоторые авторы (Е.Ф. Авдокушин, И.А. Спиридонов) особенно подчеркивают, что современная мировая экономика – результат процессов, главным образом ХХ в., тогда как до этого периода шло лишь формирование предпосылок. Такая точка зрения также не может быть признана убедительной: достаточно сказать, что Парижская валютная система золотого стандарта (мировая по характеру) начала формироваться с 1821 г.
Учитывая вышесказанное, можно выделить следующие этапы формирования мировой экономики.
1. XV – XVII вв. Эпоха Великих географических открытий, в течение которых люди открыли Землю. Установление постоянных связей с неизвестными ранее странами и континентами способствовало созданию и развитию мировой торговли. Страны Европы (Испания, Португалия, Англия, Голландия), выступившие инициаторами этих открытий, начали захватывать колонии, которые превратились в периферию мирового хозяйства и послужили основой международного обмена. Во много раз выросли поставки драгоценных металлов, пряностей, ценных сортов древесины. Не следует забывать, что мировое хозяйство этого периода держалось, главным образом, на силе меча, и сопровождалось грабежом богатств колоний (индейцы Центральной и Южной Америки, Индия, Африка), работорговлей, нескончаемыми войнами. Однако мировой рынок оставался ограниченным по масштабам товарооборота. В мировом хозяйстве доминировал не производственный, а торговый, купеческий капитал.
2. XVIII – начало XX вв. Эпоха промышленной революции. В этот период происходило стремительное развитие производительных сил, была создана фабричная индустрия, ориентированная на массовый выпуск промышленной продукции – основы мировой торговли. Паровой транспорт связал континенты как внутри, так и между ними. Были созданы современные средства связи – телеграф, телефон, радио. Наличие колоний являлось стимулирующим фактором развития мировой экономики, порождая одновременно политические и социальные проблемы, провоцируя конфликты между странами, вылившиеся в Первую Мировую войну.
3. 10-40-е гг. ХХ в. Начало этому периоду положили Первая Мировая война и революции в России в 1917 г. В целом период характеризуется нарастанием кризисных явлений и неустойчивости развития ведущих стран мира. В 1917 г. из мирохозяйственных связей в результате революции выпала Россия. Началось формирование двух типов мирового хозяйства – капиталистического и социалистического. Капиталистическая система хозяйства характеризовалась общей неустойчивостью экономических связей, вызванных Первой Мировой войной, переводом национальных экономик на военный лад, уничтожением значительной части производительных сил и людских ресурсов. Мировой экономический кризис (или «Великая депрессия»), начавшийся в 1929 г., обусловил нарастание тенденций к автаркии, к снижению роли экспорта капитала и товаров. Экспортная квота ведущих стран мира в 30-е гг. была в 1,5-2 раза ниже, чем в более благополучные 20-е гг. Так у США она сократилась с 6,1% в 1918 г. до 3,6 в 1938 г., у Дании с 29,1% до 21,3% за те же годы. Огромный урон мировой экономике принесла и Вторая Мировая война, особенно пострадавшими оказались СССР, Европа, Япония.
4. 50-80 гг. ХХ в. Этот этап в развитии мировой экономики начался после окончания Второй Мировой войны. Основными чертами данного этапа стали:
a) Возникновение и развитие мировой социалистической системы как особой подсистемы мирового хозяйства во главе с СССР. В социалистических странах производилась 1/3 мирового ВВП, в т.ч. в странах Совета экономической взаимопомощи – ¼. В основу развития экономик социалистических стран, их внешнеэкономических связей были положены не экономические принципы, а политические, классовые, идеологические: доминирование государственной собственности на средства производства, коллективизация сельского хозяйства, жестко централизованная система управления экономикой, отказ от использования преимуществ законов рыночного хозяйства. В результате сфера мирового товарообмена существенно сократилась, но мировой рынок продолжал существовать, внешнеэкономические связи устанавливались и между социалистическими и капиталистическими странами, сочетаясь с противоборством и соревнованием. При этом в начале 90-х гг. 9/10 мирового товарооборота приходилось на капиталистическую систему.
b) Рост экспорта предпринимательского капитала. Важнейшим элементом мировых производительных сил стали транснациональные компании, деятельность которых вела к формированию интернациональных производственных комплексов, включающих создание продукта, его реализацию, расчеты, кредитование, транспортировку.
c) Распад колониальной системы, пришедшийся на 60-е гг. привел к образованию новой большой группы развивающихся стран. Старые экономические отношения метрополия-колония сменились новыми типами взаимоотношений на двусторонней и многосторонней основе. Начался вывоз предпринимательского капитала из промышленно-развитых стран в развивающиеся, что способствовало экономическому развитию последних. К середине 70-х гг. особое место заняли т.н. "новые индустриальные страны" Юго-Восточной Азии (НИС), в их числе "малые драконы" первой волны – Южная Корея, Гонконг (ныне часть КНР – Сянган), Сингапур, Тайвань, к которым впоследствии добавились Бразилия, Аргентина, Мексика, Индия.
d) Выравнивание
уровней развития США и других
промышленно-развитых стран. Если в 1955 г. совокупный ВВП шести ведущих держав
мира (после США) составлял 74% к ВВП США, то в 1970 г. – 114%, хотя по
отдельности ни одна страна не смогла приблизиться к показателям США. Однако
доминирование США в мировой экономике сменилось многополюсной системой, что
проявилось в формировании трех центров – США-Западная
Европа-Япония.
e) Нарастание
кризисных явлений. В 70-80-х гг.
мировая экономика вступила в кризисную полосу. В 1974 г. экономический кризис
охватил практически одновременно и все промышленно-развитые страны (впервые
после Второй Мировой войны). В результате ни одна из
стран не могла воспользоваться преимуществами начавшегося подъема в какой-либо
стране или попытаться решить свои проблемы за счет какой-либо страны. Объем
промышленного производства и экспорта стран сократился более чем на 10%, его
спутниками стали высокая инфляция и безработица. В последующие годы, 1975-1979
гг., среднегодовые темпы роста ведущих стран не превышали 1,8%. Десятилетие
80-х гг. специалисты называют «потерянное десятилетие». Его начало
ознаменовалось кризисом 1980-1982 гг., в ходе которого объемы промышленного
производства сократились на 4%. Данный циклический кризис протекал на фоне
кризиса структурного и отличался стагфляционной
формой протекания. Вместе с тем, в отличие от 30-х гг., кризисные явления не
привели к нарастанию автаркических тенденций. Напротив, внешнеэкономические
связи промышленно-развитых стран расширялись и углублялись. Их экспортная квота
за 60-80-е гг. возросла с 11% до 21%, а у развивающихся стран – с 18% до 26%.
5. Современный этап развития мировой экономики начался в 90-е гг. ХХ в. и продолжается в наши дни. Одним из важнейших событий периода стал распад социалистической системы хозяйства, в результате которого страны Восточной Европы и бывшего СССР формируют экономические структуры, аналогичные промышленно-развитым странам. Реформы в России также нацелены на создание основ рыночной экономики, изменение системы управления хозяйством, глубокую интеграцию страны в мировую экономику. Период характеризуется формированием международных, а теперь уже и планетарных производительных сил. Активнейшим образом протекает процесс глобализации мировой экономики.
Каковы основные общие тенденции развития мировой экономики, в том числе на современном этапе?
А. Усиливающееся влияние научно-технического процесса на мировую экономику. Исследования, проведенные в Институте мировой экономики и международных отношений, показывают, что за период 60-90-х гг. за счет НТП промышленно-развитые страны получали, и продолжают получать, более 50% прироста своего ВВП.
Б. Изменение географической структуры мировой экономики за счет роста роли и доли стран Азии. Бурный рост их ВВП привел к тому, что ныне доля этих стран в мировом ВВП составляет 40% и имеет тенденцию к дальнейшему росту, учитывая быстрые темпы развития китайской экономики. В свою очередь, доли США и Европы сокращаются.
В. Формирование и углубление глобальных проблем человечества, в первую очередь, сырьевой, демографической и экологической.
Г. Неравномерность экономического развития стран. Граждане стран т.н. «золотого миллиарда» (к началу XXI в. они насчитывали 20% населения Земли) потребляют 70-75% производимой энергии, 79% топлива, 85% мировой древесины, 75% металлов. "Золотой миллиард" имеет 84,7% мирового ВВП, 84,2% мировой торговли, 84,5% сбережений населения на внутренних счетах. Львиная доля ресурсов и потребления приходится на США. Насчитывая менее 5% населения Земли, они потребляют от 30 до 40% мировых ресурсов, более 25% нефтепродуктов. Каждый американец потребляет столько, сколько приходится на 8 среднестатистических жителей Земли, или 20 жителей развивающихся стран. Официальный порог бедности в США составляет 50 долларов в день, в то время как у 3,5 млрд. жителей Земли нет и 2 долларов в день. Для России планка бедности составляет 2 доллара в день, и согласно докладу ООН о развитии человека в 2003 г. за этой чертой бедности находилось 9 млн. человек. Официальная планка бедности в самой России проводится выше, на рубеже 2,5 доллара в день, и в этом случае за чертой бедности оказывается 29 млн. человек. Независимые эксперты дают и более грустную картину: по некоторым оценка 55% населения (80 млн. чел.) в России живут за порогом бедности в 1 доллар в день.
Д. Углубление международной экономической интеграции. Такие интеграционные группировки как Европейский Союз, НАФТА, АСЕАН превратились в важных субъектов мировой экономики.
Е. Глобализация мировой экономики. Наиболее важным экономическим процессом, определяющим характер и перспективы развития мировой экономики стал процесс глобализации и усиления взаимозависимости национальных экономик. Глобализация понимается ныне как формирование единого планетарного хозяйства.
С точки зрения участия страны в МЭО можно выделить два крайних типа хозяйства:
1. Открытая национальная экономика (полностью открытое хозяйство) характеризуется полностью открытыми внутренними рынками природных ресурсов, товаров, услуг, капиталов, рабочей силы, идей, информации. Такая экономика способна обеспечить углубление специализации и кооперации в национальной экономике, рост ее конкурентоспособности за счет постоянного соперничества с иностранными фирмами на внутреннем рынке, использование позитивного мирового опыта через систему международных экономических отношений, эффективное использование принципа сравнительных преимуществ в международном разделении труда.
2. Автаркия (полностью замкнутое хозяйство) характеризуется таким развитием национальной экономики, которое определяется исключительно внутренними ресурсами и тенденциями, нацелено на достижение самообеспечения. Такая экономика мало, или совсем не зависит от тенденций мирового развития, обеспечивает стране независимость от мировых экономических кризисов, от колебаний валютных курсов, от уровня цен на мировых рынках.
Критерием степени открытости экономики выступает факт наличия влияния внешней среды на динамику основных показателей национального экономического развития, а именно: на объем и темпы роста производства, состояние внутренних товарных рынков, занятости населения.
Как уже отмечалось, для периода 30-40-х гг. у развитых стран, скованных последствиями кризиса, были очень сильны автаркические тенденции. После окончания Второй Мировой войны США, вышедшие из войны победителями и еще более богатыми, чем раньше, выдвинули лозунги "свобода торговли", "открытость экономики" в целях навязывания своих моделей поведения на мировой сцене. Необходимо отметить, что понятие "свобода торговли" (free trade), выдвинутое А. Смитом в конце XVIII в. `уже понятия "открытая экономика", поскольку последнее включает не только свободу торговли, но и движения капиталов, рабочей силы, валют, информации, идей. Однако как для Англии конца XVIII в., так и для США конца 40-х гг. ХХ в. было крайне выгодно, являясь самой мощной державой мира, заставить другие страны максимально возможно открыть свои рынки. Первоначально "открытость" сводилась к доминированию США на рынках менее развитых стран, в т.ч. разоренных войной. Однако по прошествии времени ситуация изменилась. В настоящее время стремление к открытости национальных экономик в большей степени обусловливается объективными процессами интернационализации и глобализации производства, обмена, капиталов, потребления, чем экспансией американских корпораций. Не случайно ныне термин "открытость" входит в словари многих стран мира – "инфитах" по-арабски, или "кайфан" по-китайски.
Каковы основные показатели, характеризующие степень открытости экономики?
Прежде всего, это показатель экспортной квоты, который понимается как отношение объема экспорта (за год) к ВВП в следующей формуле:


Чем больше показатель Эк, тем более высока степень открытости экономики.
В начале ХХI в. средние значения экспортной квоты по миру составили 20%, причем у промышленно-развитых стран она составляет 27%, у развивающихся – 12%, у стран с переходной экономикой – 5,5%.
Используется также показатель импортной квоты, который рассчитывается как отношение объема импорта (за год) к ВВП в следующей формуле:

Наиболее точным показателем, индексом открытости национальной экономики является показатель внешнеторговой квоты, которая понимается как отношение суммы объемов экспорта и импорта страны (за год) к ее ВВП в следующей формуле:

Чем больше ВТК, тем более открытой является экономика страны. Некоторое представление о степени открытости национальных экономик ведущих стран мира можно получить из таблицы 1.
Таблица 1.
в странах «большой семерки» (в%)[6]
|
Страны |
1965
г. |
1985
г. |
1990
г. |
1999
г. |
2004 г. |
|
Великобритания |
18,8 |
28,3 |
41,8 |
55,3 |
53,5 |
|
Германия |
19,0 |
33,1 |
50,8 |
67,8 |
71,6 |
|
Италия |
13,4 |
26,8 |
32,3 |
55,1 |
39,0 |
|
Канада |
19,5 |
28,0 |
44,9 |
86,0 |
73,0 |
|
США |
4,7 |
8,5 |
17,0 |
24,8 |
24,9 |
|
Франция |
12,1 |
23,7 |
37,9 |
57,7 |
51,7 |
|
Япония |
10,3 |
14,5 |
17,8 |
21,2 |
25,5 |
В 50-60-е гг. к числу открытых стран относили те, у которых внешнеторговая квота составляла более 10%. С конца 90-х гг. и в настоящее время к числу стран с высокой открытостью относят те, у которых внешнеторговая квота более 45%, а к странам с низкой открытостью те, у которых этот показатель менее 27%. Из приведенной таблицы видно, что из числа развитых стран к таковым можно отнести Японию. В начале XXI в. произошло значительное снижение экспортной квоты Италии, снизилась экспортная квота Франции и Великобритании. Это объясняется тем экономическим спадом, который ныне переживают страны Европы.
Важным показателем открытости экономики является также внешнеторговый оборот на душу населения (см. таблицу 2).
Таблица 2.
Внешнеторговый оборот на душу населения.
|
Страна |
Показатель внешнеторгового оборота на душу населения (в $ тыс.) |
|
|
|
1999
г. |
2004 г. |
|
Канада |
20 |
22,3 |
|
Германия |
15,5 |
23,8 |
|
Великобритания |
13,5 |
18,9 |
|
Франция |
12,8 |
17,5 |
|
Италия |
10,1 |
11,4 |
|
США |
9,0 |
9,9 |
|
Япония |
8,2 |
9,2 |
|
Россия (2000 г.) |
1,0 |
2,3 |
Одним из важнейших критериев открытости национальной экономики является благоприятный инвестиционный климат в стране. Инвестиционный климат – это социально-экономическая, политическая, демографическая оценка положения в стране с точки зрения зарубежных инвесторов. Благоприятный инвестиционный климат обеспечивает приток капиталов, технологий, рабочей силы.
Факторами, влияющими на степень открытости экономики выступают:
· величина годового ВВП;
· емкость внутреннего рынка;
· степень интернационализации национальной экономики;
· степень участия страны в международной производственной кооперации;
· обеспеченность национальной экономики природными и трудовыми ресурсами;
· характер государственной политики.
В послевоенный период существенную роль в увеличении степени открытости национальных экономик сыграло государство, поощряя развитие экспортных производств, вывоз товаров и услуг, развитие международной экономической кооперации. В странах постепенно формировались правовые основы, облегчавшие приток капиталов, рабочей силы, технологий, информации.
Транснациональные компании также внесли свой вклад в увеличение степени открытости. Создавая за рубежом многочисленные филиалы, дочерние компании, штаб-квартиры, они научились ловко обходить протекционистские барьеры в чужих странах, увеличивая тем самым степень интернационализации мировой экономики.
Большую роль сыграло развитие транспорта и средств связи, либерализация валютных и торговых рынков.
В реальной жизни не существует ни полностью замкнутых, ни полностью открытых экономик. Даже такое автаркическое государство как КНДР, официальной идеологией которого являются идеи «чучхе» (особый путь к коммунизму с опорой на собственные силы) не отрезано полностью от мировой экономики и участвует в ней. С другой стороны, такая наиболее открытая страна как США предпринимает ряд мер по защите внутреннего рынка с помощью таможенных и нетаможенных барьеров в отношении иностранных конкурентов, прежде всего Японии, а в последнее время и Китая. В идеале проведение принципов открытой экономики должно привести к созданию общемирового "Общего рынка", как тот, который создан в рамках Европейского Союза, когда, например, состояние свободы торговли между странами можно будет характеризовать так же, как сейчас внутри стран.
Всемирный банк применяет классификацию стран по степени открытости мировому рынку, измеряемой долей экспорта в ВНД. Выделяются следующие группы стран:
1. с относительно закрытой экономикой - доля экспорта менее 10% ВНД;
2. страны с относительно открытой экономикой - доля экспорта более 35% ВНД;
3. страны, располагающиеся между вышеуказанными в п. 1 и 2.
Странами с наиболее открытой экономикой являются Сингапур, Новая Зеландия, Швейцария, с наименее открытой - Северная Корея, Куба.
Выяснение степени открытости национальной экономики выдвигает на первый план проблему экономической безопасности страны, понимаемую как совокупность условий и факторов, обеспечивающих независимость национальной экономики.[7] Национальная экономическая безопасность – это защищенность экономики страны от внутренних и внешних неблагоприятных факторов, которые нарушают нормальное функционирование экономики, подрывают достигнутый жизненный уровень населения, вследствие чего может возникнуть угроза политической дестабилизации страны.
Дело в том, что когда национальная экономика открывается для внешнего мира, значительно усиливается зависимость от внешних рынков: товарного, рынка капиталов, рынка труда, валютных рынков. Со всей остротой встают проблемы занятости, состояние курса национальной валюты, положение отечественных товаропроизводителей. В результате глобализации усиливаются взаимосвязи между национальными экономиками. Рост ВВП в одной стране способствует росту ее импорта, что, в свою очередь, стимулирует экономический рост в другой стране. И наоборот, снижение производства в одной стране может неблагоприятно повлиять на динамику экономического роста в других странах, связанных производственными, торговыми, валютно-расчетными и др. отношениями. Внешнеэкономические факторы оказывают влияние, в первую очередь, на динамику развития национальной экономики; темпы роста ВВП; уровень занятости; состояние наиболее прибыльных отраслей; состояние национальной валюты.
Открытая экономика не является синонимом бесконтрольности и вседозволенности, а напротив, предполагает жесткий контроль государства и межгосударственных институтов за внешнеэкономическими связями.
Россия за последнее десятилетие в значительной степени открыла свою экономику. По показателю экспортной квоты она практически вышла на уровень промышленно-развитых стран. Если в 1991 г. экспортная квота России составляла 4%, то в 2001 г. – более 20%. (При этом ВВП снизился более чем в 2 раза). Показатель экспортной квоты продолжает расти. В 2004 г. он составил уже 57,1% - выше, чем у Японии, Италии, Франции, Великобритании (см. таблицу 1).
По ряду экспортных товаров экспортная квота составляет: сырая нефть – 45%, нефтепродукты – 36%, газ – 37%, минеральные удобрения – 72%, черные металлы – 72%, целлюлоза – 85%, алюминий – 90%. Практически, ряд отраслей работает просто на экспорт. Наличие у нашей страны столь высокой экспортной квоты, не соответствующей той группе стран, к которым мы относимся, говорит в большей степени не о вовлеченности России в международное разделение труда, а об односторонней экспортной направленности. Поэтому, признавая неизбежность и необходимость интеграции России в мировую экономику, нельзя не отметить, что данный процесс имеет и негативные последствия, создающие угрозу национальной экономической безопасности нашей страны. К числу таких угроз можно отнести:
1. Превращение России в нетто-экспортера природных ресурсов, в сырьевой придаток не только развитых, но даже и развивающихся стран (КНР, в частности). По доле топлива в структуре экспорта Россия занимает промежуточное место между Ближним Востоком и Африкой, по доле черных и цветных металлов намного превосходит любую группу развивающихся стран, зато по доле машин и оборудования занимает место между Латинской Америкой и Ближним Востоком, которых никак нельзя признать машиностроительными гигантами.
2. Существенный рост импортной зависимости. В 1991 г. внутренняя торговля России на 86% состояла из отечественной продукции, и на 14% - из импортных товаров. Сегодня импортные товары занимают более 40% внутреннего товарооборота страны, тогда как пороговым значением экономической безопасности считается цифра в 30%.
3. Большой объем внешней задолженности, которую, впрочем, в последние годы Россия успешно погашает. В 2004 г. государственный долг составлял 113,6 $ млрд., было выплачено 9 $ млрд. основного долга и 7 $ млрд. по процентам. Лишь высокие цены на нефть и газ на мировом рынке в последние годы позволяют снять остроту проблемы внешнего долга. На 1 апреля 2006 г. государственный долг составил 75,2 $ млрд., летом было принято решение о досрочной выплате долга Парижскому клубу (21,3 $ млрд. собственно долг и 1 $ млрд. премии кредиторам (поскольку Россия выигрывает на неуплате процентов 8,9 $ млрд.).
4. Значительный отток капитала из страны, буквально бегство. По некоторым оценкам[8], за 1992-2001 гг. из России было вывезено около 300 $ млрд., и наша страна, таким образом, кредитовала экономики других стран. В последние годы бегство капитала прекратилось, проведенные в стране реформы дают основание считать, что ныне отток капитала из России стал составной частью международного движения капитала. Отмена валютных ограничений в июле 2006 г. создала основу для цивилизованного участия России в международном движении капитала.
5. Продолжающееся падение качества отечественных товаров, из которых лишь 10% отвечают мировым стандартам. Такая ситуация напрямую связана с изношенностью основных производственных фондов страны, которая оценивается уровнем порядка 70%. Только для замены и модернизации активной части основных производственных фондов России нужно 15-18 млрд. долл. в год.[9]
Количество стран на Земле постоянно увеличивается. Если в начале ХХ в. насчитывалось немногим более 50 суверенных государств, то в начале ХХI в. количество субъектов мировой экономики по разным оценкам колеблется от 220 до 230 (ряд стран не имеют суверенитета, либо их суверенитет неясен). Число стран-членов ООН составляет 192 (на 2006 г.).
Среди стран есть огромные по площади государства (Россия, Китай, Индия, США, Бразилия), и микроскопические страны (Андорра, Лихтенштейн, Монако). В мире есть страны, богатые природными ресурсами (Россия, Канада, Саудовская Аравия) и не имеющие таковых (Япония). В мире представлены страны однонациональные (Япония, Швеция) и многонациональные (Индия, Россия, США, Нигерия). Есть страны, имеющие хороший выход к морю, протяженное морское побережье (Канада, США, Россия, Франция), а есть страны, лишенные выхода к морю (Чад, Непал, Мали, Нигер). Некоторые государства занимают целый континент (Австралия), а есть страны, занимающие остров или группу островов (Мальта, Науру). Есть страны, богатые трудовыми ресурсами, и есть страны, имеющие отрицательный прирост населения, испытывающие дефицит трудовых ресурсов. Экономико-географическое положение страны неизбежно отражается на уровне ее экономического развития.
Для оценки уровня экономического развития используют несколько основных показателей и критериев:
· -абсолютный и относительный ВВП (ВНП);
· -ВНД и доход на душу населения;
· -отраслевую структуру национальной экономики;
· -производство основных видов продукции на душу населения;
· -структуру экспорта и импорта страны;
· -уровень и качество жизни населения
· -показатели экономической эффективности и некоторые другие.
Уровень развития также включает степень индустриализации хозяйства (перевод производства на машинную основу) и структуру производства, которые являются важными условиями роста национального дохода. Современный этап индустриализации характеризуется широким использованием информационной техники и технологии, дающими большую экономию овеществленного труда, так же как и предыдущие технические сдвиги.
Структура промышленного производства состоит из средств производства и предметов потребления. В индустриальных странах важное место занимает производство потребительских товаров длительного пользования, а уровень производства средств производства и предметов потребления примерно равны. По мере повышения уровня экономического развития сокращается расход сырья и энергии и вместо натурального сырья во все большей степени используются материалы промышленного, в основном химического происхождения.
Разным странам мира неодинаково «повезло» в отношении природных ресурсов: одни изначально были «наделены» плодородными почвами, а другим приходится нести большие затраты на искусственное улучшение земель; на территории одних оказались большие запасы минерального топлива (нефти, газа, угля), а другие вынуждены ввозить топливо из-за рубежа. Исторически наличие или отсутствие богатых природных ресурсов играло важную роль в развитии стран мира. Однако, в конечном счете не это оказалось решающим фактором. Возьмем, к примеру, такие богатые сегодня страны, как Япония или Южная Корея. Относительно высокий уровень экономического развития этих стран позволяет им гораздо эффективнее (продуктивнее) использовать те ограниченные природные ресурсы, которые исторически оказались в их распоряжении. Именно эффективность использования производственных ресурсов - не только природных, но и «человеческих» и произведенных человеком, или, как теперь говорят, природного, произведенного и человеческого капиталов - и считается сегодня действительным критерием уровня экономического развития разных стран.
Строго говоря, специалисты и должны были бы оценивать эффективность экономик разных стран для того чтобы определить, какие из стран мира следует отнести к наиболее экономически развитым. Однако на практике такие расчеты были бы слишком неточны. Хотя бы потому, что до сих пор не проведена оценка большей части мировых природных ресурсов. Весьма приблизительными являются также оценки человеческого капитала разных стран. Поэтому для сравнения уровней развития разных стран экономисты чаще всего используют показатели валового внутреннего продукта (ВВП) на душу населения или валового национального продукта (ВНП, ныне – ВНД – валовый национальный доход) на душу населения. По сравнению с показателем эффективности экономики ВВП или ВНД на душу населения подсчитать легче. К тому же эти показатели, во-первых, дают, хотя и грубое, представление об эффективности использования капитала в разных странах; во-вторых, представляют дополнительный интерес как показатели среднего уровня материального благосостояния, или «уровня жизни», граждан разных стран независимо от того, проистекает ли это благосостояние из обладания более богатыми природными ресурсами или из более высокой эффективности их использования.
Международные подсчеты ВВП/ВНП ведутся путем перевода в доллары США, что сразу же обнажает проблему текущего валютного курса, который, как известно, может резко изменяться. Одно из решений проблемы – использовать не текущий валютный курс, а курс базового года (который тоже надо каким-то образом определить), либо использовать средний за несколько лет курс. Такой методикой пользуются эксперты Всемирного банка, когда учитывают усредненные значения обменных курсов за последние три года.
С 90-х гг. ХХ в. ВВП и ВНП рассчитываются согласно методике ООН на основе паритета покупательной способности национальных валют (ППС) и в неизменных ценах. Паритет покупательной способности (от англ. purchasing power party – PPP) - количество денежных единиц данной страны, необходимое для приобретения того же количества товаров и услуг на рынке данной страны, которое можно приобрести на один доллар на рынке США. Используя это количество в качестве условного «валютного курса», можно, например, пересчитать номинальную величину ВВП на душу населения страны, переведенную в доллары США по действительному курсу национальной валюты, в его реальную величину, т.е. величину, не зависящую от разницы в уровнях цен на одни и те же товары в разных странах или от колебаний курса национальных валют.
Теория паритета покупательной способности была создана шведским ученым Густавом Касселем в 1916 г. Используя оценки ВВП в долларах по ППС, можно проводить более точное сравнение средних уровней душевого дохода в разных странах. Однако возникает и серьезная проблема, связанная с различиями в потребительских корзинах, которые радикально различаются в разных странах и, таким образом, единой потребительской корзины для всего мира не существует.
Поскольку средний уровень цен в бедных странах, как правило, ниже, чем в богатых, ВВП развивающихся стран, оцененный по ППС, оказывается обычно выше, чем их же ВВП, переведенный в доллары по существующему валютному курсу (табл.3). Для развитых же стран, наоборот, оценки ВВП по ППС оказываются как бы заниженными (табл.4). В результате при использовании оценок по ППС разрыв между уровнями душевого дохода в бедных и в богатых странах оказывается меньше, чем при обычном методе сравнения.
Таблица 3.
Сравнение номинального ВВП с ВВП по ППС
(превышение ВВП по ППС, 2002 г.)
|
№ |
Страна |
ВВП (млрд. долл. США) |
ВВП (ППС, млрд. долл. США) |
|
1.
|
Китай |
1266,1 |
5860,9 |
|
2.
|
Российская Федерация |
346,5 |
1185,6 |
|
3.
|
Таиланд |
126,9 |
431,9 |
|
4.
|
Аргентина |
102,0 |
412,7 |
|
5.
|
Алжир |
55,9 |
180,4 |
|
6.
|
Чили |
64,2 |
153,1 |
|
7.
|
Шри-Ланка |
16,6 |
67,7 |
Таблица 4.
Сравнение номинального ВВП с ВВП по ППС
(занижение ВВП по ППС, 2002 г.)
|
|
Страна |
ВВП (млрд. долл. США) |
ВВП (ППС, млрд. долл. США) |
|
1 |
США[10] |
10383,1 |
10308,0 |
|
2 |
Япония |
3998,4 |
3425,1 |
|
3 |
Великобритания |
1566,3 |
1549,1 |
|
4 |
Швейцария |
267,4 |
218,8 |
|
5 |
Швеция |
240,3 |
232,5 |
|
6 |
Норвегия |
190,5 |
166,1 |
|
7 |
Дания |
172,9 |
166,3 |
Для расчета этих показателей можно либо суммировать все полученные за год доходы - заработную плату, прибыль, процент на капитал, ренту на землю, либо суммировать все произведенные расходы - личное потребление, инвестиции, государственные закупки товаров и услуг, чистый экспорт (экспорт минус импорт). Теоретически результат вычислений в обоих случаях должен быть одним и тем же, поскольку расходы одного участника экономических отношений одновременно всегда являются доходами для другого, так что сумма всех доходов должна быть равна сумме всех расходов. При этом если подсчитываются все доходы (или расходы) на территории данной страны, то результатом вычислений является валовой внутренний продукт. Если же в расчет принимаются все доходы, полученные гражданами данной страны (или расходы, произведенные ими же) как внутри страны, так и за рубежом, то в результате вычислений будет получен валовой национальный продукт.
ВНП (ВНД) страны может быть существенно меньше, чем ВВП, если значительная часть получаемых в стране доходов вывозится из нее иностранными фирмами или гражданами. Например, в Чили в 1994 г. ВНП был на 5% меньше, чем ВВП. Наоборот, если граждане данной страны владеют большим количеством ценных бумаг (акций или облигаций) иностранных компаний или правительств и получают по ним доходы, то ВНП окажется больше, чем ВВП. В Саудовской Аравии, например, в 1994 г. ВНП превышал ВВП на 7%. Однако для большинства стран показатели ВВП и ВНП различаются незначительно и зачастую считаются взаимозаменяемыми.
По показателям ВВП или ВНП (ВНД) можно судить о величине экономики отдельных стран. Место страны в мировой экономике (ее экономическая мощь) оценивают путем сравнения общего объема ВВП, произведенного за год. В 2004 г. ВВП некоторых стран, рассчитанный по паритету покупательной способности валют (в трлн. долл.) составил:
Таблица 5.
ВВП по ППС, 2004 г.
|
№ |
Страна |
ВВП (ППС, трлн. долл. США) |
|
1. |
США |
10,990 |
|
2. |
Китай |
6,449 |
|
3. |
Япония |
3,582 |
|
4. |
Индия |
3,033 |
|
5. |
Германия |
2,271 |
|
6. |
Великобритания |
1,666 |
|
7. |
Франция |
1,661 |
|
8. |
Италия |
1,550 |
|
9. |
Бразилия |
1,375 |
|
10. |
Российская Федерация |
1,282 |
|
11. |
Канада |
0,958 |
Однако, как было указано ранее, для того, чтобы получить хотя бы приблизительное представление об уровне развития этих стран, необходимо поделить эти показатели на численность населения соответствующих стран (таблица 6). ВВП и ВНП на душу населения дают представление о количестве товаров и услуг, приходящихся в среднем на одного жителя страны, и называются также «доходом на душу населения» или «душевым доходом».
Но все вышерассмотренные показатели при всей своей важности далеко не безупречны в качестве меры действительного благополучия населения сравниваемых стран. По их величине, например, никоим образом нельзя судить о том, какая доля населения страны живет в бедности или в опасных для здоровья условиях, поскольку они:
· не учитывают распределение доходов внутри страны;
· не отражают ущерб, наносимый в процессе производства окружающей среде и природным ресурсам;
Страны с высоким ВВП на душу населения, 2004
г.
|
Страна |
ВВП на душу населения (ППС, долл. США)
|
|
|
1.
|
Люксембург |
61190 |
|
2.
|
Норвегия |
36600 |
|
3.
|
Ирландия |
36360 |
|
4.
|
США |
35750 |
|
5.
|
Дания |
30940 |
|
6.
|
Швейцария |
30010 |
|
7.
|
Исландия |
29750 |
|
8.
|
Канада |
29480 |
|
9.
|
Австрия |
29220 |
|
10.
|
Нидерланды |
29100 |
|
17. |
Япония |
28200 |
|
86. |
Россия |
8900 |
|
120. |
Украина |
5400 |
|
122. |
Китай |
5000 |
· не включают в себя ценности благ и услуг, не получающих рыночной оценки, например, производимых в домашнем хозяйстве для собственного потребления:
¨ -работа домохозяек в своем домашнем хозяйстве,
¨ -домашний уход за больными и детьми,
¨ -домашнее благоустройство (ремонт квартир, электро- и радиоаппаратуры, обуви, автомашин и т.п.),
¨ работа на земельном участке.
· придают равное значение как полезным, так и вредным для общества товарам, например, лекарствам и химическому оружию;
· не учитывают теневую экономику;
· игнорируют ценность, которую имеют для людей свободное время и многие другие нематериальные блага.
За многие годы продолжительность свободного времени увеличилась, также увеличилось количество оплачиваемых отпусков и стало больше праздничных и выходных дней, соответственно и общественное благосостояние выросло. Но СНС не в состоянии напрямую учитывать это обстоятельство. Не принимается во внимание и «психический доход» - то удовлетворение, которое люди получают от своей работы.
· не отражают качество, состав продукции;
· включают только товары, созданные в данный период времени;
·
не отражают
степень технологического развития страны, сложность структуры ее экономики. Об
этом говорит отнесение монокультурных (нефтедобывающих) стран к странам с
высоким доходом (речь об этом пойдет ниже), например, Саудовской Аравии и
Кувейта.
Но, несмотря на перечисленные недостатки, на основе данных показателей можно выделить 3 основные классификации:
1. Классификация по уровню экономического развития стран (по ВНД на душу населения);
·
промышленно
развитые (индустриальные) страны (industrial countries);
·
развивающиеся
страны (ранее назывались страны «третьего мира») (developing
countries);
·
страны с переходной экономикой (economies/countries in transition).
3. Классификация стран по качеству жизни;
Часто эти классификации сочетаются друг с другом. Рассмотрим их подробнее.
Для того чтобы поделить страны мира на группы в зависимости от уровня их экономического развития, разные организации пользуются различными критериями. Самый простой подход - разделение мировой экономики на группы стран по уровню дохода на душу населения. Эта классификация принята Всемирным банком.
В зависимости от уровня валового национального дохода на душу населения страны делятся на несколько групп (по данным на 2003 год[11]):
1) с низкими доходами (годовой доход на душу населения не более $765) - всего 61 страна (табл.7);
2) со средними доходами (годовой доход на душу населения от $766 до $9385) - всего 92 страны (табл. 8 и табл. 9).
В свою очередь страны со средними доходами делятся на государства с доходами ниже средних (от $766 до $3035) и государства с доходами выше средних (от $3036 до $9385);
3) с высокими доходами (годовой доход на душу населения свыше $9386) всего 56 стран (табл.10).
Таблица 7.
Страны с низкими доходами (61)
|
Ангола |
Конго, Дем. Респ. |
Папуа-Новая Гвинея |
|
Афганистан |
Конго, Респ. |
Руанда |
|
Бангладеш |
Корея, Дем. Респ. |
Сан-Томе и Принсипи |
|
Бенин |
Кот-д'Ивуар |
Сенегал |
|
Буркина-Фасо |
Кыргызская
Республика |
Соломоновы Острова |
|
Бурунди |
Лаосская НДР |
Сомали |
|
Бутан |
Лесото |
Судан |
|
Вьетнам |
Либерия |
Сьерра-Леоне |
|
Гаити |
Мавритания |
Таджикистан |
|
Гамбия |
Мадагаскар |
Танзания |
|
Гана |
Малави |
Тимор-Лесте |
|
Гвинея |
Мали |
Того |
|
Гвинея-Биссау |
Мозамбик |
Уганда |
|
Замбия |
Молдова |
Узбекистан |
|
Зимбабве |
Монголия Центральноафриканская
республика |
Индия |
|
Мьянма |
Респ. Йемен |
Непал |
|
Чад |
Камбоджа |
Нигер |
|
Экваториальная Гвинея |
Камерун |
Нигерия |
|
Эритрея |
Кения |
Никарагуа |
|
Эфиопия |
Коморские Острова |
Пакистан |
Таблица 8.
Страны с доходами ниже средних (56)
|
Азербайджан |
Индонезия |
Самоа |
|
Албания |
Ирак |
Свазиленд |
|
Алжир |
Иран |
Сирия |
|
Армения |
Кабо-Верде |
Суринам |
|
Беларусь |
Казахстан |
Таиланд |
|
Болгария |
Кирибати |
Тонга |
|
Боливия |
Китай |
Тунис |
|
Босния
и Герцеговина |
Колумбия |
Туркменистан |
|
Бразилия |
Куба |
Турция |
|
Вануату |
Македония,
БЮР |
Украина |
|
Гайана |
Мальдивские
Острова |
Фиджи |
|
Гватемала |
Марокко |
Филиппины |
|
Гондурас |
Маршалловы
Острова |
Шри-Ланка |
|
Грузия |
Микронезия |
Эквадор |
|
Джибути |
Намибия |
Эль-Сальвадор |
|
Доминиканская
Республика |
Парагвай |
Югославия |
|
Египет |
Перу |
Южная Африка |
|
Западный
берег и сектор Газа |
Российская
Федерация |
Ямайка |
|
Иордания |
Румыния |
|
Таблица 9.
Страны с доходами выше средних (36)
|
Американское
Самоа |
Латвия |
Санта-Люсия |
|
Антигуа
и Барбуда |
Ливан |
Саудовская Аравия |
|
Аргентина |
Ливия |
Сейшельские Острова |
|
Барбадос |
Литва |
Сент-Винсент и Гренадины |
|
Белиз |
Маврикий |
Сент-Киттс и Невис |
|
Ботсвана |
Майотт |
Словацкая Республика |
|
Венгрия |
Малайзия |
Тринидад и Тобаго |
|
Венесуэла |
Мексика |
Уругвай |
|
Габон |
Оман |
Хорватия |
|
Гренада |
Палау |
Чешская Республика |
|
Доминикана |
Панама |
Чили |
|
Коста-Рика |
Польша |
Эстония |
Таблица 10.
Страны с высокими доходами (56)
|
Австралия |
Ирландия |
Объединенные Арабские Эмираты |
|
Австрия |
Испания |
Андорра |
|
Италия |
Остров
Мэн |
Аруба |
|
Каймановы Острова |
Португалия |
Багамские Острова |
|
Канада |
Пуэрто-Рико |
Бахрейн |
|
Катар |
Сан-Марино |
Бельгия |
|
Кипр |
Северные
Марианские |
Бермудские Острова |
|
Кувейт |
Бруней |
Лихтенштейн |
|
Слования |
Виргинские
Острова (США) |
Люксембург |
|
Соединенное
|
Германия |
Макао (Китай) |
|
Королевство |
Гонконг
(Китай) |
Мальта |
|
Соединенные
Штаты |
Гренландия |
Монако |
|
Америки |
Греция |
Нидерландские Антиль |
|
Фарерские
Острова |
Гуамские
Острова |
Финляндия |
|
Дания |
Нидерланды
|
Франция |
|
Израиль |
Новая
Зеландия |
Французская Полинезия |
|
Ирландия |
Новая
Каледония |
Швейцария |
|
Республика
Корея |
Норвегия |
Швеция |
|
Исландия |
Нормандские
Острова |
Япония |
Используемые Всемирным банком аналитические категории (стран с низкими, средними и высокими доходами) основаны на категориях заемщиков (заемщики МАР и т.п.). Эти принципы деятельности были приняты еще три десятилетия назад, и при этом Банк руководствовался тем, что поскольку для более бедных стран следует устанавливать более выгодные условия получения кредитов от Банка, необходимо разработать методы сравнительной оценки экономических потенциалов. Валовый национальный доход (ВНД), являющийся широким показателем, считался наилучшим показателем экономического потенциала и экономического прогресса. В то же время, было признано, что ВНД сам по себе не является показателем благосостояния или эффективности развития. Поэтому основным критерием, используемым Банком для классификации стран, является ВНД в расчете на душу населения.
Процесс установки пороговых значений дохода на душу населения начался с того, что было рассчитано стабильное соотношение между сводным показателем благосостояния, таким как процент бедного населения, и показателем детской смертности с одной стороны и экономическими переменными величинами, включая ВНД на душу населения, рассчитанный методом Атласа - с другой. На основе этого отношения и годового объема выделяемых Банком ресурсов, были установлены первоначальные пороговые значения дохода на душу населения. После этого эти первоначальные значения корректируются каждый год с учетом воздействия международной инфляции, которая в настоящее время измеряется как средний показатель инфляции в странах Группы пяти («дефлятор СДР»). Таким образом, в реальном выражении пороговые значения со временем не меняются.
Отнесение страны к той или иной группе в данной классификации открывает или закрывает ей доступ к:
· финансовой и технической помощи;
· льготному финансированию;
· определенным видам кредитов;
· займам по низким ставкам;
· беспроцентным кредитам;
· грантам.
Исследователи Всемирного банка также договорились, что страны с низким и средним доходом на душу населения причисляются к «развивающимся» странам в отличие от стран с высоким доходом, которые называются также «индустриальными», «индустриально развитыми» или просто «развитыми».
Такой относительно простой метод причисления стран к развивающимся или развитым по одному-единственному признаку - по уровню дохода на душу населения - не всегда срабатывает. При этом приходится, например, выделять группу «развивающихся стран с высоким уровнем дохода», к которой относят Израиль, Кувейт, Объединенные Арабские Эмираты и Сингапур. Это страны, которые официально считаются в ООН развивающимися по признаку недостаточно прогрессивной структуры их экономики или по пожеланию правительств самих этих стран, хотя формально, по уровню ВНД на душу населения, они должны были бы относиться к развитым странам.
Непросто оказалось также применить этот упрощенный метод классификации и к «странам с переходной экономикой», т. е. к бывшим социалистическим странам. С одной стороны, ни одна из этих стран не достигла установленного Всемирным банком порога высокого дохода на душу населения, а с другой - по отраслевой структуре своей экономики многие из этих стран являются вполне индустриальными. В этом заключается одна из причин того, что классификация стран с переходной экономикой во Всемирном банке пока считается предварительной. Заметим, что в ежегодном «Докладе о мировом развитии», выпущенном Всемирным банком еще в 1982 г., эти же страны назывались не развивающимися, а «индустриальными с нерыночной экономикой», а в публикациях Организации Объединенных Наций они и до сих пор не включены в группу развивающихся стран, а выделены в особую группу - ЦВЕ и СНГ.
Существуют и другие подходы к классификации стран в мировой экономике и определению их роли в мировом воспроизводственном процессе (Экономического и социального совета ООН, Всемирного банка, Ф. Котлера и др.).
В современном мире есть несколько групп государств, характеризующихся схожестью указанных в предыдущей главе социально-экономических показателей.
Мир по своей социально-экономической природе крайне неоднороден. В настоящее время можно выделить три группы стран[12]:
· промышленно развитые страны с рыночной экономикой, образующие как бы каркас мирового хозяйства;
· развивающиеся страны Азии, Африки, Латинской Америки и Океании;
· страны с переходной экономикой, представленные государствами Восточной Европы, Россией и государствами, сформировавшимися из республик бывшего СССР.
Страны каждой группы имеют сходные характеристики:
· отраслевой структуры экономики;
· уровня ВВП на душу населения;
· уровня ВВП на душу населения по ППС;
· институциональной структуры экономики (формы собственности);
· социальной структуры общества.
Одним из оснований для отнесения страны к группе развитых или развивающихся является уровень ВВП на душу населения по ППС. В 2000 г. к числу развитых стран относились страны с показателем ВВП на душу по ППС более $ 9 тыс., в 2005 г. – $ 12 тыс.
Но было бы ошибкой проводить слишком резкую черту между этими группами. Например, уже сегодня целую группу развивающихся стран - страны Юго-Восточной Азии, в частности Южную Корею, Гонконг (с 1997 г. - провинция Китая, Сянган), Тайвань, Бразилию и Аргентину, и некоторые другие - по целому ряду экономических показателей логично отнести к числу индустриально развитых государств мира. Однако по уровню других важных показателей (глубина социальных контрастов, неравномерность регионального развития и др.) они традиционно еще относятся к группе развивающихся стран. Деловые круги США, в частности, крайне недовольны тем, что Южная Корея пользуется льготами в мировой торговле как развивающаяся страна, хотя по объему ВВП на душу населения давно уже входит в десятку первых стран мира.
В то же время часть несомненно развитых государств как бы опаздывает с качественными преобразованиями национальных производительных сил, что тормозит рост общественной производительности труда. Так, в странах Восточной Европы и России она составляет лишь около 50% уровня стран Западной Европы.
Однако, несмотря на то, что деление всех стран мира на «развитые», «развивающиеся» и «страны с переходной экономикой» является наиболее распространенным среди ученых и политиков, оно заведомо неудачно из-за самих терминов. Понятно ведь, что и наиболее развитые страны все-таки продолжают развиваться. Если же пойти по пути деления стран на «более развитые» и «менее развитые», то неясно, где именно следует провести разграничительную черту между ними. Очевидно, любое такое деление может быть лишь условным и основанным на временной договоренности (формальной или неформальной) между исследователями.
ООН, Всемирный банк и МВФ выделяют выше названные подсистемы мирового хозяйства, но их состав различается. Так, МВФ включает в группу развитых стран Тайвань, Гонконг, Южную Корею, Сингапур, но исключает Южно-Африканскую Республику, в то время как ООН относит первые четыре страны к развивающимся, хотя они и достигли высокого уровня развития и имеют сходную с западными странами социально-экономическую структуру экономики, а ЮАР - к развитым. ОЭСР добавляет в их число Мексику и Турцию, являющихся участниками этой организации, хотя скорее это развивающиеся страны, но они вошли в нее по территориальному признаку (Турции принадлежит часть Европы, а Мексика входит в Североамериканское соглашение о свободной торговле - НАФТА).
В ООН используется также классификация по уровню экономического развития с учетом региональных особенностей, в которой выделяются четыре группы стран:
· А – афро-азиатские страны;
· B – промышленно-развитые страны;
· С – латиноамериканские страны;
· D – страны с централизованно планируемой экономикой.
В этом случае A + C дает нам группу развивающихся стран, которые, в свою очередь, подразделяются на три группы:
· I – с максимальным уровнем развития (Новые индустриальные страны и страны-экспортеры нефти;
· II – со средним уровнем развития;
· III – с низким уровнем развития.
Конференция ООН по торговле и развитию (ЮНКТАД) применяет иную классификацию стран. Они разбиты на 4 группы по регионально-экономическим признакам:
· 1 группа - страны с развитой рыночной экономикой (26 стран) из Западной Европы, Австралия, Новая Зеландия, Израиль и ЮАР;
· 2 группа – страны Восточной Европы (бывшие социалистические государства и СССР);
· 3 группа – социалистические страны Азии (КНР, КНДР, Монголия, Вьетнам);
· 4 группа – развивающие страны.
В свою очередь, развивающие страны классифицируются по двум критериям. Критерий А –специализация экспорта. По этому критерию выделяют:
а) Страны-экспортеры нефти (20 стран);
б) Промышленные экспортеры – Бразилия, Мексика, Южная Корея, Тайвань, Сингапур;
в) Наименее развитые страны (46 стран);
г) Другие страны.
Критерий В – уровень развития по показателям на душу населения. Выделяют (на 2005 г.):
а) Страны с высоким уровнем развития ($ 3-4 тыс. на душу);
б) Страны со средним уровнем развития (от $ 500 до 3 тыс. на душу);
в) Страны с низким уровнем развития (менее $ 500 на душу)[13].
Международный валютный фонд применяет классификацию, в которой всего две группы стран:
· промышленно-развитые страны;
· все остальные страны.
Затем остальные страны подразделяются на группы, во-первых, по доминирующему экспорту:
1) Страны-экспортеры жидкого топлива;
2) Страны-экспортеры другого сырья;
3) Страны-экспортеры промышленной продукции;
4) Страны-экспортеры услуг.
Во-вторых, по финансовому критерию эти страны подразделяются на экспортеров и импортеров капитала. Используются и другие критерии – страны, с высоким уровнем задолженности, страны с низким уровнем доходов на душу и др.
Выше был указан ряд недостатков предыдущих классификаций. Поэтому длительное время предпринимаются попытки выработать более совершенные критерии оценки уровня экономического развития страны. Чтобы обоснованно судить об относительном качестве жизни в разных странах, необходимо дополнительно привлекать к анализу целый ряд статистических показателей, отражающих, например, степень неравномерности распределения доходов в обществе, уровень развития образования, здоровье и долголетие людей, состояние окружающей их среды и многое другое. Поэтому используют и многомерные классификации стран мира. В частности, в 1970 г. в ООН был разработан комплексный индекс социального развития, рассчитанный на основе 16 показателей. Но оценка уровня экономического развития - не единственный критерий состояния страны, ее прогресса.
Наиболее современная оценка ставит в центр внимания человека. В 1990 г. в специальной Программе развития ООН был разработан индекс развития человека (ИРЧ), который отражает качество жизни населения страны и публикуется в ежегодном отчете «HUMAN DEVELOPMENT REPORT». Методология расчета показателя постоянно уточняется и совершенствуется. Наибольшие трудности связаны с необходимостью получения сравнимых показателей при отсутствии необходимой социальной статистики в большинстве развивающихся стран, а по ряду разделов - и в странах с переходной экономикой. В настоящее время он называется «индекс развития человеческого потенциала» (ИРЧП) и состоит из трех компонентов:
1) средняя ожидаемая продолжительность жизни людей, рассчитываемая по формуле:

Так, например, в 2000 г. ожидаемая продолжительность жизни в Японии составляла 80,7 лет, в Австралии – 79,8, в Швейцарии и Швеции – 79,6, в Норвегии – 78,7, а в Сьерра-Леоне – всего лишь 40,3 года, в Малави – 40,7, в Уганде – 41,4, в Анголе – 46,5, в Мозамбике – 46,9.
В целом средняя продолжительность жизни в мире составляет 66 лет (64 для мужчин, 68 лет для женщин). В развитых странах эти показатели составляют 72 и 79 лет, в развивающихся – 62 и 66, в наименее развитых странах - 51 и 52.
2) уровень образованности, рассчитываемый по формуле:

При этом образованность населения измеряется комбинацией из двух величин:
а) доля грамотных среди взрослых людей старше 15 лет (в %);
б) средняя продолжительность обучения (количество лет).
В настоящее время доля грамотных при расчете общего уровня образованности учитывается с коэффициентом 2/3, а продолжительность обучения - 1/3. Если нет данных о средней продолжительности обучения, то берется совокупная доля в населении учащихся начальных, средних и высших учебных заведений.
По данным ООН, в 1990 г. 960 млн. чел. не умели ни писать, ни читать, с тех пор число неграмотных удалось сократить на 100 млн. чел. В Нигере и Буркина-Фасо неграмотны 80% населения, в Сомали, Непале – 70%, в Мали, Сенегале, Либерии, Эфиопии, Пакистане – более 60%.
3) реальная величина средних доходов жителей, рассчитываемая как отношение ВВП/на душу в среднем по миру к ВВП/на душу населения в данной стране.

Откорректированные доходы рассчитываются по сложной программе на основе величины ВНП на одного жителя, но с поправками на ППС и с учетом показателей, отражающих специфику распределения средств в обществе, в частности соотношения доли доходов 20% беднейших и 20% самых богатых людей, а также соотношения национальных показателей со среднемировым «порогом доходов», обеспечивающих нормальный уровень жизни людей. В результате величина «реального» ВНП на душу населения, определенная таким способом и используемая далее при расчетах ИРЧП, значительно меньше, чем официальная исходная цифра.
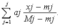
ИРЧП рассчитывается по формуле

ИРЧП можно выразить и в следующей формуле:
где Mj и mj – максимальное и минимальное значения показателей человеческого развития,
xj : x1 ожидаемая продолжительность жизни при рождении (минимальное 25, максимальное 85 лет)
х2 – грамотность взрослого населения (0-100%)
х3 - полнота охвата обучением в начальной, средней и высшей школе (0-100%)
х4 - специальный индикатор материального благосостояния, в основе которого лежит реальный ВВП на душу населения (100 – 40000 долл. по ППС)
aj – весовые коэффициенты показателей, подобранные таким образом, чтобы все измерения человеческого развития имели одинаковый вес (а1 = 1/3; а2 = 2/9; а3 = 1/9; а4 = 1/3).
С 1999 г. специальный индикатор материального благополучия х4 рассчитывается как десятичный логарифм реального ВВП на душу населения.
Максимально возможное значение ИРЧП -1, минимальное - 0.
ИРЧП, равный 1, будет иметь страна, в которой средняя продолжительность жизни равна 85 годам, ВВП на душу населения (по паритету покупательной способности) равен $ 40 тыс., в которой 100% взрослого населения являются грамотными, а все, кто достиг соответствующего возраста, посещают начальную или среднюю школу, или учатся в высшем или среднем специальном учебном заведении. Ближе всего к этому показателю сегодня находится Норвегия, ИРЧП которой равен 0,956 (по данным ООН за 2002 год).
ИРЧП, равный 0, будет иметь страна, в которой средняя продолжительность жизни равна 25 годам, ВВП на душу населения (по паритету покупательной способности) равен 100 долларам США, в которой 100% взрослого населения неграмотны и никто не получает никакого образования. Ближе всего к этой крайности сегодня находится Сьерра-Леоне, ИРЧП которой равен 0,273 (по данным ООН за 2002 год).
Исходя из рангов стран по ИРЧП, эксперты ООН делят страны мира на три группы (табл.8):
1) страны с высоким уровнем развития человеческого потенциала (ИРЧП>0,8; 50 стран);
2) страны со средним уровнем развития человеческого потенциала (0,5<ИРЧП<0,8; 86 стран);
3) страны с низким уровнем развития человеческого потенциала (ИРЧП<0,5; 36 стран).
Ведущее место по показателю занимают промышленно развитые страны. В первую десятку стран мира по величине ИРЧП в 2002 г. входили (в порядке убывания): Норвегия, Швеция, Австралия, Канада, Нидерланды, Бельгия, Исландия, США, Япония и Ирландия. Россия, аттестованная как страна со средним уровнем развития, занимала 57-е место (между Болгарией и Ливией).
Среди развивающихся стран низшую группу составляют (в порядке возрастания): Сьерра-Леоне, Нигер, Буркина-Фасо, Мали, Бурунди.
Начиная с 1990 г., 20 стран испытали снижение ИРЧП. Напротив, в 1980-е гг. только 3 (из тех стран, по которым имелись данные) испытали снижение ИРЧП. Ухудшение показателей в этих странах, наряду со стагнацией в других, многое объясняет в общем замедлении роста ИРЧП в последнее десятилетие (Рис. 1).
Из 20 стран, ухудшивших показатели, 13 находятся в Африке к югу от Сахары. Основной причиной стала эпидемия ВИЧ/СПИДа и ее значительное влияние на продолжительность жизни. Другие случаи ухудшения показателей касаются в основном стран СНГ, многие из которых начали движение вспять в середине 1980-х гг., что выразилось в падении доходов и ИРЧП в период с 1990 по 1995 г. ИРЧП в регионе начал опять повышаться к концу второй половины 1990-х гг.
В советское время Россия занимала по ИРЧП место в числе развитых стран мира. Она славилась своим образованием; продолжительность жизни, хотя и не была очень высокой, но росла, а уровень жизни рассчитывался так, что мог считаться вполне сопоставимым с развитыми странами.
Спад производства и сокращение ВВП в России в 90-х годах, связанные с трансформационным переходом к рыночной экономике, привели к тому, что она покинула по показателю ИРЧП группу развитых стран и заняла места в группе государств со средним уровнем развития. Так, например, Россия в 1995 г. занимала по ИРЧП лишь 114 место из 174 стран, по которым рассчитывается индекс человеческого капитала. После 2000 года в связи с быстрым экономическим ростом ИРЧП России стал расти, в результате чего Россия переместилась в 2002 г. на 57 место.
ИРЧП четко проводит различие между доходами и человеческим благополучием. Путем измерения средних достижений в здравоохранении, образовании и доходах ИРЧП может дать более полную картину состояния развития страны, чем только измерение уровня доходов. Боливия с ее гораздо более низким уровнем ВВП на душу населения, чем Гватемала, достигла более высокого ИРЧП, так как делала больше для того, чтобы использовать этот показатель для развития человека. Танзания, одна из беднейших стран в мире, имеет ИРЧП, сравнимый с Гвинеей, страной, почти в четыре раза богаче. И наоборот, страны с тем же уровнем доходов имеют большие различия в ИРЧП - у Вьетнама примерно такой же уровень доходов, что и у Пакистана, но ИРЧП гораздо выше, из-за более высокого уровня продолжительности жизни и грамотности.
Таблица 11.
Страны по сводным показателям развития
человека[14]
|
Страны с высоким уровнем развития человеческого
потенциала (ИРЧП 0,800 и выше) |
Страны со средним уровнем Развития
человеческого потенциала (ИРЧП от 0,500 до 0,799) |
Страны с низким уровнем развития человеческого
потенциала (ИРЧП ниже 0,500) |
Страны с низким уровнем развития человеческого потенциала (ИРЧП ниже 0,500) |
|
1 Норвегия |
56 Болгария |
101 Исламская Республика Иран |
142 Пакистан |
|
2 Швеция |
57 Российская Федерация |
102 Оккупированные палестинские территории |
143 Того |
|
3 Австралия |
58 Ливийская Арабская Джамахирия |
103 Сальвадор |
144 Конго |
|
4 Канада |
|
104 Гайана |
145 Лесото |
|
5 Нидерланды |
59 Малайзия |
105 Кабо-Верде |
146 Уганда |
|
6 Бельгия |
60 Македония (бюр) |
106 Сирийская Арабская Республика |
147 Зимбабве |
|
7 Исландия |
61 Панама |
107 Узбекистан |
148 Кения |
|
8 Соединенные Штаты Америки |
62 Беларусь |
108 Алжир |
149 Йемен |
|
9 Япония |
63 Тонга |
109 Экваториальная Гвинея |
150 Мадагаскар |
|
10 Ирландия |
64 Маврикий |
110 Кыргызстан |
151 Нигерия |
|
11 Швейцария |
65 Албания |
111 Индонезия |
152 Мавритания |
|
12 Соединенное Королевство |
66 Босния и Герцеговина |
112 Вьетнам |
153 Гаити |
|
13 Финляндия |
67 Суринам |
113 Республика Молдова |
154 Джибути |
|
14 Австрия |
68 Венесуэла |
114. Боливия |
155 Гамбия |
|
15 Люксембург |
69 Румыния |
115 Гондурас |
156 Эритрея |
|
16 Франция |
70 Украина |
116 Таджикистан |
157 Сенегал |
|
17 Дания |
71 Сент-Люсия |
117 Монголия |
158 Восточный Тимор |
|
18 Новая Зеландия |
72 Бразилия |
118 Никарагуа |
159 Руанда |
|
19 Германия |
73 Колумбия |
119 Южная Африка |
160 Гвинея |
|
20 Испания |
74 Оман |
120 Египет |
161 Бенин |
|
21 Италия |
75 Западное Самоа |
121 Гватемала |
162 Объединенная Республика Танзания |
|
22 Израиль |
76 Таиланд |
122 Габон |
163 Кот-д'Ивуар |
|
23 Гонконг, Китай (ОАР) |
77 Саудовская Аравия |
123 Сан-Томе и Принсипи |
164 Замбия |
|
24 Греция |
78 Казахстан |
124 Соломоновы Острова |
165 Малави |
|
25 Сингапур |
79 Ямайка |
125 Марокко |
166 Ангола |
|
26 Португалия |
80 Ливан |
126 Намибия |
167 Чад |
|
27 Словения |
81 Фиджи |
127 Индия |
168 Демократическая Республика Конго |
|
28 Корейская Республика |
82 Армения |
128 Ботсвана |
169 Центральноафриканская Республика |
|
29 Барбадос |
83 Филиппины |
129 Вануату |
170 Эфиопия |
|
30 Кипр |
84 Мальдивские Острова |
130 Камбоджа |
171 Мозамбик |
|
31 Мальта |
85 Перу |
131 Гана |
172 Гвинея-Биссау |
|
32 Чешская Республика |
86 Туркменистан |
132 Мьянма |
173 Бурунди |
|
33 Бруней-Даруссалам |
87Сент-Винсент и Гренадины |
133 Папуа-Новая
Гвинея |
174 Мали |
|
34 Аргентина |
88 Турция |
134 Бутан |
175 Буркина-Фасо |
|
35 Сейшельские Острова |
89 Парагвай |
135 Лаосская Народно-Демократическая
Республика |
176 Нигер |
|
36 Эстония |
90 Иордания |
136 Коморские Острова |
177 Сьерра-Леоне |
|
37 Польша |
91 Азербайджан |
137 Свазиленд |
|
|
38 Венгрия |
92 Тунис |
138 Бангладеш |
|
|
39 Сент-Китс и
Невис |
93 Гренада |
139 Судан |
|
|
40 Бахрейн |
94 Китай |
140 Непал |
|
|
41 Литва |
95 Доминика |
141 Камерун |
|
|
42 Словакия |
96 Шри-Ланка |
|
|
|
43 Чили |
97 Грузия |
|
|
|
44 Кувейт |
98 Доминиканская Республика |
|
|
|
45 Коста-Рика |
99 Белиз |
|
|
|
46 Уругвай |
100 Эквадор |
|
|
|
47 Катар |
|
|
|
|
48 Хорватия |
|
|
|
|
49 Объединенные Арабские Эмираты |
|
|
|
|
50 Латвия |
|
|
|
|
51 Багамские Острова |
|
|
|
|
52 Куба |
|
|
|
|
53 Мексика |
|
|
|
|
54 Тринидад и Тобаго |
|
|
|
|
55 Антигуа и Барбуда |
|
|
|
Для стран с высоким уровнем развития типична ситуация, когда в структуре их ВВП преобладает третичный сектор (сфера услуг), вторичный сектор (промышленность и строительство) представлен, прежде всего, обрабатывающей промышленностью, а доля первичного сектора (добывающая промышленность, сельское и лесное хозяйство) невелика. Хотя в структуре ВВП некоторых развивающихся стран велика доля третичного и вторичного секторов, обычно она объясняется широким развитием туризма или торговли. В промышленно-развитых странах, как уже отмечалось, доля отраслей третьего сектора превышает 50%, доходя до 70%.
Важнейшей сферой в отраслевой структуре мирового хозяйства остается промышленность. На ее долю приходится 28% ВВП промышленно-развитых стран и 27% ВВП развивающихся государств. Ведущее положение в структуре промышленности занимают обрабатывающие отрасли, которые обеспечивают уровень технического развития других сфер хозяйства, так как в них аккумулируются научно-технические достижения. В индустриальных странах на них приходится 82,6% промышленной продукции и 23% ВВП, в развивающихся - соответственно 73 и 20%.
В развивающихся государствах в последние десятилетия произошло увеличение доли обрабатывающей промышленности. По мере развития стран происходит переход от базовых отраслей, являющихся ресурсоемкими, к наукоемким отраслям. При этом наблюдается определенная последовательность в переходе сначала от высокой доли сырьевых и технически несложных производств к капиталоемким и материалоемким и затем к наукоемким отраслям. Но структурные изменения в промышленности не приводят к полной замене одних отраслей другими: меняется приоритетность их развития. Доля добывающей промышленности во всех подсистемах сокращается.
Что касается сельского хозяйства то, в настоящее время его эффективность в большинстве районов мира повысилась. В развитых странах произошло образование аграрно-промышленного комплекса, что привело к улучшению использования конечной продукции. В промышленно развитых странах на долю сельскохозяйственного производства приходится 2,3% и в развивающихся странах - 15,4% ВВП.
В соответствии с классификацией ООН к странам с развитой рыночной экономикой относятся:
1) Австралия
2) Дания
3) Люксембург
4) Финляндия
5) Австрия
6) Израиль
7) Нидерланды
8) Франция
9) Бельгия
10) Ирландия
11) Новая Зеландия
12) Швейцария
13) Великобритания
14) Исландия
15) Норвегия
16) Швеция
17) Германия (бывшая ФРГ)
18) Испания
19) Португалия
20) ЮАР
21) Гибралтар
22) Италия
23) США
24) Япония
25) Греция
26) Канада
27) Фарерские острова
Критериями для включения той или иной страны в группу развитых стран являются:
· высокий уровень социально-экономического развития, выражающийся в высоких уровнях ВВП в целом, на душу населения в частности (не менее 12 тыс. долл. в год, в реальности от 15 до 30 тыс. долл.), высоком жизненном уровне и стандарте;
· рыночная система хозяйствования;
· открытость экономики;
· преобладание в процессе производства ВВП сферы услуг (более 60%) над промышленностью и сельским хозяйством;
· переход в промышленности от добывающих и материалоёмких отраслей к новым высокотехнологичным и наукоемким отраслям;
· высокий уровень механизации и продуктивности сельскохозяйственного производства, в результате чего 3-8 % трудоспособного населения, занятого в сельском хозяйстве этих стран, полностью обеспечивают продовольствием свои страны и превратили сельское хозяйство в экспортный сектор экономики в большинстве стран этой группы.
Практически все промышленно развитые страны (на 2006 г. – 30 стран) входят в Организацию экономического сотрудничества и развития (ОЭСР).
В странах с развитой рыночной экономикой проживает 1,2 млрд. человек (23% всего населения мира). Они сосредоточивают около 70% мирового ВВП, и дают 70-75% мирового промышленного производства. ВВП на душу населения колеблется в этих странах от 10 до 25 тыс. долл., что примерно в 5 раз превышает среднемировой уровень. Более 50% мирового ВВП производится в США, Японии и Германии.
На развитые страны приходится 70% мирового притока и 85% мирового оттока прямых зарубежных инвестиций, около 70% мирового внешнеторгового оборота. Доля промышленно развитых стран в мировом экспорте на протяжении последних 30 лет составляет около 70-75%, причем они являются экспортерами не только промышленной продукции, но и капитала. Такова же доля этих стран и в мировом импорте.
Большинство развитых стран входит в интеграционные объединения, из которых наиболее мощными являются Европейский союз - ЕС (20% мирового ВВП) и Североамериканское соглашение о свободной торговле - НАФТА (24%).
Промышленно развитые страны - главный производитель промышленной и сельскохозяйственной продукции, несмотря на наметившуюся тенденцию к некоторому снижению их доли в мировом производстве. При этом сфера услуг в настоящее время обеспечивает производство более 60% ВВП промышленно развитых стран[15]. В промышленно развитых странах происходит падение роли «нижних» этажей индустрии (традиционно добывающие отрасли) и одновременно наращивание производства в «верхних этажах» за счет развития отраслей высоких технологий. Передача «низкоквалифицированных» производств в развивающиеся страны и сохранение у себя только верхней части производственного комплекса есть своего рода инструмент конкурентной борьбы со странами с низким уровнем заработной платы, с импортом дешевых изделий из стран «новой индустриализации».
Большие капиталовложения в науку (2-3% ВНП) и внедрение ее достижений в производство определяют высокий интеллектуальный уровень труда. Гуманизация экономики развитых стран означает высокий процент расходов на медицину, образование, культуру. Значительны также и расходы на охрану окружающей среды (3-4% ВНП), что подтверждает высокий уровень экологизации экономики.
Таблица 12.
в населении мира и ВВП в начале XXI в.
|
Страна,
регион |
Население,
млн. чел. |
Доля
в ВВП мира, в % |
ВВП на душу, в долл. США |
|||
|
|
2000 г. |
2004 г. |
2000 г. |
2004 г. |
2000 г. |
2004 г. |
|
США
|
271 |
293,7 |
21,9 |
28,3 |
29.250 |
39.876 |
|
Западная
Европа |
387 |
392 |
20,3 |
31,7 |
21.350 |
33.831 |
|
Япония
|
127 |
127,8 |
7,6 |
11,1 |
24.075 |
36.313 |
Индустриальные страны Запада объединяет помимо прочего то, что в отличие от остальных государств мира они уже вступили в новый этап технико-экономического развития - постиндустриальный (информационный). Термин "постиндустриальное общество" был предложен американским социологом Дэниeлом Беллом еще в 1965 г. По его мнению, общество прошло несколько этапов в своем развитии. Доиндустриальное общество являлось в основном добывающее, его экономика основана на сельском хозяйстве, добыче угля, энергии, газа, рыболовстве, лесной промышленности. Индустриальное общество характеризуется доминированием обрабатывающих отраслей, это общество, в котором энергия и машинная технология используются для производства товаров. Постиндустриальное общество характеризуется тем, что телекоммуникации и компьютеры выполняют основную роль в производстве, в обмене информацией и знаниями, создают основу для развития мировой торговли, международного движения капиталов и валютных отношений.
Таблица 13.
Отраслевая структура ВВП развитых стран (в %)
|
Годы |
Сельское хозяйство |
Промышленность |
Строительство |
Сфера услуг |
|
1960 |
6,4 |
36,4 |
5,6 |
51,6 |
|
1970
|
3,9 |
31,6 |
6,2 |
58,3 |
|
1985 |
3,2 |
29,9 |
6,5 |
60,4 |
|
1995 |
2,0 |
24,8 |
6,2 |
67,0 |
|
2000 |
1,0 |
23,9 |
6,3 |
71,2 |
Как видно из таблицы, доля сельского хозяйства и промышленности в развитых странах во второй половине ХХ в. неуклонно снижались, тогда как доля строительства и особенно сферы услуг росли, что отражает постепенное построение этими странами постиндустриального общества.
Можно выделить следующие характерные черты промышленно развитых стран:
1) 1) Наличие крупного частномонополистического сектора, занимающего главенствующие позиции в экономике.
2) Высокий уровень производительных сил.
3) Интенсивный тип развития рыночной экономики.
4) Единый воспроизводственный процесс в рамках национальных хозяйств.
5) Сосредоточение подавляющей части экономического и научно-технического потенциала мирового хозяйства, расположение главных финансовых центров, основных узлов коммуникаций.
6) Высокий уровень доходов и относительно равномерное их распределение. Для промышленно развитых стран характерен меньший разрыв в уровне доходов между беднейшими и богатейшими 20% населения и наличие мощного среднего класса, имеющего высокие жизненные стандарты.
7) Многоотраслевая структура экономики. При этом сфера услуг (третий сектор) составляет более 60% экономики.
8) Относительно равномерное хозяйственное освоение территории
9) Социальная ориентированность экономики, в частности поддержка малообеспеченных слоев населения (пенсионеров, студентов, инвалидов и т.п.).
Некоторое представление о темпах роста развитых стран можно получить из таблицы.
Таблица 14.
Динамика роста ВВП развитых стран (в%)
|
Годы |
ОЭСР |
США |
Япония |
ЕС (ЕЭС) |
|
1971-1980 |
3,3 |
2,8 |
4,5 |
3,0 |
|
1981-1990
|
2,0 |
2,7 |
4,2 |
2,3 |
|
1991-1995 |
1,9 |
2,4 |
1,4 |
1,5 |
|
1995-2000 |
2,8 |
3,5 |
1,3 |
2,7 |
|
2000-2004 |
2,3 |
2,5 |
0,9 |
1,8 |
По роли в мировой экономике промышленно развитые страны можно подразделить на три группы.
Первую образуют семь крупнейших промышленно развитых стран (Великобритания, Германия, Италия, Канада, США, Франция, Япония) объединились в так называемую Большую семерку (G7) для обсуждения глобальных экономических и валютных проблем. Пять из указанных государств образуют ядро НАТО, четыре составляют костяк ЕС. На долю «большой семерки Севера» приходится около 50% мирового товарооборота, 45% мирового ВВП (в том числе на США - 27, Японию - 7, Германию - 5%.), 40% мировой промышленной продукции, 12% населения мира.
Встречи G7 проводятся на разных уровнях. Основой же являются ежегодные встречи глав государств и правительств, на которых значительное внимание уделяется определенным конкретным проблемам (энергетическая политика, внешний долг, охрана окружающей среды и др.). На встрече в 1996 г. в обсуждении некоторых вопросов участвовала Россия, а начиная со встречи в 1997 г. «Большая семерка» в определенной степени превратилась в «Большую восьмерку» с участием России, хотя это касается только политического аспекта, а не экономического.
Вторую группу (14 стран) образуют небольшие по размеру государства, характеризующиеся высоким уровнем социально-экономического развития (Австрия, Бельгия, Дания, Нидерланды, Швеция и др.). Они нередко выступают в качестве связующего звена в экономических и политических взаимоотношениях стран первой группы. Отдельные страны этой группы занимают весьма заметные позиции в мировой торговле и политике.
В третью группу входят страны «переселенческого капитализма» (Австралия, ЮАР, Израиль, Новая Зеландия. Иногда в эту группу включают также Канаду). В экономике этих стран ведущую роль играют компании бывшей метрополии или других высокоразвитых стран. Для этих стран характерна большая доля добывающей промышленности, в экспорте велика доля сырья и продукции сельского хозяйства.
По экономической силе в мировой экономике выделяют три центра.
1. Среди «стран семерки» доминируют США.
В 90-е годы экономика США устойчиво занимала 1 место по уровню конкурентоспособности, но экономическое лидерство США в мире имело тенденцию к ослаблению. Так, удельный вес США в ВВП несоциалистического мира снизился с 31% в 1950г. до 20% в настоящее время (24-27% в начале XXI в.). Особенно существенно снизилась доля США в экспорте несоциалистического мира - с 18% в 1960 г. до 12% в 1997г. Доля США в мировых прямых иностранных инвестициях сократилась с 62% в 1960 г. до 20% в настоящее время. Главная причина относительного ослабления позиций США в мировой экономике заключается в высоких темпах экономического роста Японии и Западной Европы, которые достаточно быстро, используя американскую помощь по «плану Маршала», восстановили разрушенную войной экономику и осуществили глубокие структурные изменения хозяйства, создав новые отрасли. На определенном этапе японские и западноевропейские отрасли экономики достигли международной конкурентоспособности и стали успешно конкурировать на мировом рынке с американскими компаниями (например, немецкие и японские автомобильные корпорации).
Однако, несмотря на относительное ослабление экономических позиций США, роль США в мировой экономике после Второй мировой войны всегда была ведущей. Во-первых, по сравнению с любой страной мира США имеют самый большой ВВП - более 10 трлн. долл. в год и, соответственно, самый емкий в мире внутренний рынок. Но главным фактором экономического лидерства США является лидерство в сфере научно-технического прогресса, внедрения его результатов в производство. На долю США сегодня приходится 40% мировых затрат на НИОКР (научно-исследовательский и опытно-конструкторские работы), или около 3% ВВП. Удельный вес США в мировом экспорте наукоемкой продукции составляет 20%. Наиболее заметно США лидируют в сфере информационных технологий. Именно поэтому США опережают все страны по темпам роста производительности труда. США принадлежат 16 из 20 самых быстрых ЭВМ мира (остальные 4 – японские). В современном международном разделении труда США специализируются на разработке новейших технологий, т.е. на самой начальной, быстрорастущей и защищенной от конкуренции фазе научно-технического цикла. Страны НИС, например, специализируются на другой, стабильной фазе научно-технического цикла. Таким образом, США реально являются первопроходцем научно-технического прогресса.
В настоящее время в США сосредоточено 75% банков данных всех промышленно развитых стран. Кроме того, США лидируют в мировом производстве продовольствия, обеспечения, в частности, более 50% мирового экспорта зерна.
Однако темпы роста ВВП США в последние годы свидетельствуют о перемежающемся спаде: в 2002 г. – 2,2%, в 2003 г. – 3,6%, в 2004 г. – 3,1%, в 2005 г. – 3,5%. На темпах прироста ВВП практически не отразилась беспрецедентно низкая учетная ставка Федеральной резервной системы (около 2% в среднем).
После развала СССР и мировой социалистической системы США стали единственной мировой сверхдержавой, которая является экономическим, политическим и военным лидером современного мира. Сохранение и упрочение лидирующей роли США в мире официально закреплено в Концепции национальной безопасности США.
Представляет интерес и социальная стратиграфия американского общества. Оно подразделяется по уровню годового дохода на три класса.
Верхний класс (годовой доход семьи выше $ 100 тыс.) – это примерно 10% населения, крупные бизнесмены, банкиры, политики, top-менеджеры, высокооплачиваемые юристы, врачи, ученые.
Средний класс (годовой доход семьи от $ 25 тыс. до 100 тыс.) – 60% американцев, государственные чиновники, менеджеры, высокооплачиваемые рабочие, инженеры, преподаватели.
Нижний класс (годовой доход менее $ 25 тыс.) – 30% населения, главным образом, афроамериканцы и латиноамериканцы, а также выходцы из азиатских стран.
Политика США ориентирована в среднесрочной перспективе на ликвидацию экономического и социального неравенства, поскольку именно среди граждан нижнего класса наиболее высоки уровни наркомании, преступности, болезней.
2. Вторым центром экономической силы является Западная Европа.
В Западной Европе преобладают две модели рыночной экономики: «демократический корпоративизм» и «социально-рыночная модель». Обе модели имеют много общего, поэтому между ними нет жесткой границы.
1). Демократический корпоративизм.
Характерен для таких стран как Швеция, Австрия. Для этой модели присуща высокая доля государственного предпринимательства в производстве товаров и услуг, в инвестициях. Содействие экономическому росту и общему благосостоянию осуществляется путем координации общественных и частных интересов.
Для рынка труда характерны сильные профсоюзы и отраслевые трудовые оглашения. Предпочтение отдается адаптации рабочей силы на рынке труда путем профессиональной переподготовки. Государство проводит активную политику занятости и обеспечивает высокий уровень пособий по безработице.
2). Социально рыночная модель.
Данная модель в большей мере характерна для Германии. Доля государственного предпринимательства в производстве товаров и услуг, в инвестициях незначительна. Эта модель предусматривает поддержку как отдельных групп населения (молодежь, малообеспеченные), так и предпринимателей, которые не могут противостоять крупным корпорациям (малый бизнес, фермеры). Социально-рыночная модель опирается на негласный консенсус общественных и политических сил.
В целом доля государственного сектора в европейской экономике существенно выше, чем в США и Японии (49% в Европе против 39% и 34% в США и Японии).
Экономическое развитие Западной Европы после Второй мировой войны неотделимо от процесса интеграции, охватившем всю Западную Европу.
Экономическое развитие Западной Европы в послевоенный период, происходившее в условиях углубления и расширения интеграции, было динамичным и успешным. Западная Европа быстро восстановила разрушенную войной экономику, создала современные конкурентоспособные отрасли хозяйства, повысив свой удельный вес в мировом производстве и экспорте по сравнению с США.
Мировое лидерство Западной Европы можно характеризовать следующими компонентами:
1) Западная Европа сегодня - главный центр международной торговли, обеспечивающий более 50% мирового экспорта, опережающий США и Японию. На долю Западной Европы приходится сегодня более 40% мировых золотовалютных резервов.
2) Западная Европа лидирует в фармацевтической промышленности, в отдельных отраслях транспортного машиностроения, в некоторых отраслях легкой промышленности. Кроме того, Западная Европа - крупный центр международного туризма.
Основная экономическая мощь Европы приходится на 4 страны: Германию, Великобританию, Францию и Италию, где проживает более 50% населения и производится более 70% ВВП региона. Наиболее развитые страны занимают следующую ступень: это Бельгия, Нидерланды, Швеция и Испания. Они производят 20% ВВП Европы. По темпам роста ВВП им значительно уступают Австрия, Дания, Греция и Финляндия. На их долю приходится 8% ВВП. Такие страны как Португалия, Ирландия и Люксембург вносят в европейскую копилку совсем немного – 2%. К этому традиционному делению следует добавить 10 стран Восточной Европы, которые в 2005 г. стали членами ЕС.
Но наряду с преимуществами стран Западной Европы прослеживается ряд экономических проблем. Удельный вес Западной Европы в мировой экономике за последние 20 лет несколько снизился, темпы экономического роста были низкими, многие традиционные отрасли пережили кризис (металлургия, текстильная промышленность). Европейские фирмы не смогли добиться высокой конкурентоспособности в сфере электроники и телекоммуникаций, где лидируют США. Западная Европа отстает в микроэлектронике, робототехнике, биотехнологии, производстве новых материалов. В сфере массового производства наукоемких товаров Западная Европа отстает от Японии и новых индустриальных стран Юго-Восточной Азии.
В начале XXI века Западная Европа переживает экономический спад: в 2002 г. рост ВВП составил 2%, в 2003 г. – 1,3% (в т.ч. в странах ЕС – 0,7%), в 2004 г. – 1,1% (во Франции – 0,5%, в Италии – 0,4%, в Германии – 0,1%), в 2005 г. – всего 1%.
Но главной экономической и социальной проблемой Западной Европы остается массовая безработица, уровень которой достигает в последние годы 8-10% численности рабочей силы, что значительно больше, чем в США и Японии. С другой стороны, страны Западной Европы, в условиях снижающегося прироста населения, его старения, вынуждены во всё большей степени ориентироваться на пополнение трудовых ресурсов за счет миграций. Это порождает новые социальные, конфессиональные, национальные противоречия.
3. Третий центр международной конкуренции - Япония.
Для характеристики экономической модели Японии в настоящее время используют понятие «иерархический корпоративизм».
Характеристика указанной модели многие годы строилась на базе следующих принципов:
1. Незначительное участие государства в производстве товаров и услуг, в сбыте, в инвестициях. Главная задача государства – планирование, которое носит индикативный характер. Общегосударственные экономические планы — это своего рода государственные инвестиционные программы, рекомендуемые и поддерживаемые экономическими и социальными ресурсами всего государства. Особенностью и преимуществом Японии является то, что в составлении государственных планов учитываются планы и интересы компаний и финансово-промышленных групп (через механизм консультаций).
2. Активное участие государства в стимулировании деловой активности, в изменениях структуры экономики. Государство активно влияет на экономическую жизнь через валютный контроль, процентные ставки, государственные закупки прямое денежно-кредитное регулирование.
3. Особая структура производства, заключающаяся в вертикальной интеграции фирм. Основой японской экономики являются мелкие и средние компании. Они объединяются с крупными корпорациями в финансово-промышленные группы – кэйрецу, базирующими на подрядных и субподрядных отношениях. Такими отношениями охвачены 60% мелких и средних компаний.
4. На рынке труда практиковалось одновременное заключение трудовых соглашений на уровне фирмы. Трудовые отношения характеризовались как «фирменный патернализм» (система пожизненного найма, фирма - «наш общий дом»). При этом ни в компаниях, ни в законодательстве нет четких правил, устанавливающих гарантии найма на всю жизнь. Между тем и работники, и администрация негласно рассматривают продолжительную работу как одно из условий договора о найме. Трудовые отношения строятся на философии «фирма — наш общий дом». Для Японии характерен длительный рабочий день. В среднем мужчина проводит на работе 57,7 часа в неделю, больше американцев и западноевропейцев на 10 часов.
5. Особое внимание фирмы и государство уделяют повышению квалификации рабочей силы, вовлечению работников в управление производством. Основу организации и управления на производстве составили малые самоуправляющиеся группы. Они охватывают все предприятие по вертикали и горизонтали. Каждая группа поставлена в такие условия, которые стимулируют совершенствование ее деятельности, постоянный поиск способов экономного использования ресурсов и оборудования. Группа участвует в принятии решений, касающихся фирмы в целом или ее подразделений, если эти решения затрагивают эту группу.
6. Высокая зависимость экономики страны от импорта сырья и топлива. Среди промышленно-развитых стран Япония отличается самым низким уровнем самообеспеченности сырьем и топливом практически по всем показателям. Относительно большими являются только запасы каменного угля, в остальном страна полностью зависит от поставок сырья с мирового рынка. На долю Японии приходится свыше 30% мирового импорта железной руды, свыше 19% руд цветных металлов, каменного угля, хлопка и шерсти.
В экономической литературе для характеристики экономического развития Японии используют понятие «японское экономическое чудо», что подчеркивает феноменальный успех страны, которая из второразрядной и обособленной страны превратилась в мировую державу с динамичной и конкурентоспособной рыночной экономикой открытого типа.
На первом этапе (1945 – 1960 гг.) Япония осуществила полную реконструкцию экономики, восстановив базовые отрасли экономики (металлургию, машиностроение, химическую промышленность). Для экономической модели этого периода был характерен экстенсивный рост, основанный на использовании привозного сырья, производства готовой продукции и ее экспорте. При этом, учитывая отсутствие собственной научно-технической базы, Япония активно закупала новейшие технологии и совершенствовала их. Темпы роста составляли 9% в год, к рубежу 70-х гг. они дошли до 17%. Появилось выражение "японское экономическое чудо".
Второй этап начался с 70-х гг. ХХ в., и для него характерно ярко выраженное интенсивное развитие. Толчком послужил энергетический кризис начала 70-х гг., когда страны ОПЕК в несколько раз подняли цены на нефть. Япония сумела существенно снизить зависимость от импорта топлива и сырья. Так, японская сталеплавильная промышленность более чем на 60% была переведена на электрометаллургический способ восстановления железа непосредственно из руды. Необходимость в импорте кокса снизилась.
Главное внимание Япония уделила наукоемким отраслям экономики, где сегодня выступает признанным мировым лидером как в области производства предметов потребления, как и в области промышленного оборудования (станки с программным управлением, автоматические поточные линии, целые "безлюдные" производства, где присутствуют только наладчики, а все производственные операции выполняются машинами). В стране был создан транспорт нового поколения (железные дороги на воздушной подушке), средняя скорость передвижения составляет 200 км/час. Япония развила систему собственных НИОКР, расходуя на них 2,7% ВВП. По доле расходов на науку (без военных НИОКР) она занимает 1 место в мире, а по числу ученых превосходит ФРГ, Великобританию и Францию вместе взятых.
Япония во все большей степени стала ориентироваться не на экспорт товаров, а на экспорт капиталов, что позволило сократить производство в самой стране, перенося его наиболее трудоемкие фазы в страны с дешевой рабочей силой, вслед за капиталом.
В результате Япония стала второй экономической державой мира (ныне – 3, ее позиции потеснил Китай), а в Азии она безусловно лидирует на рынках большинства стран региона. Токио – уже давно мировой финансовый центр, не уступающий Нью-Йорку и Лондону по объему валютных операций, объемам купли-продажи и наименованиям ценных бумаг.
Опыт Японии представляет интерес для стран, которые пытаются преодолеть отставание в уровне экономического развития от промышленного развитых стран (страны «догоняющего развития»).
В последние более чем два десятилетия среднегодовые темпы роста ВНП Японии заметно снижались и в 90-е гг. оказались намного ниже, чем в других развитых капиталистических странах. Так, среднегодовой прирост ВНП в 1971 - 1980 гг. составил 4,5%, в 1981 - 1990 гг. - 4,2%, в 90-е годы он еще больше снизился и в 1992 - 1995 гг. оказался ниже 1% в год, хотя в 1996 году возрос до 3,9%, а в 1997 году составил лишь 0,9%. В 2002 г. прирост ВВП составил минус 1%; в 2003 г. – 1,1%, в 2004 г. – 2,7%, в 2005 г. – 3%. Тем не менее, на долю Японии приходится более 70% ВВП азиатского региона.
Япония и сегодня имеет очень низкую инфляцию, низкий уровень безработицы, активно использует такие формы занятости как работа на дому, делает ставку на предприятия малого бизнеса при наличии гигантских концернов. Японский рабочий имеет лучшую профессиональную подготовку, чем американский, а оплата его труда зависит не только от количества, но и от качества продукции, что способствует росту производительности труда. Расходы Японии на оборону не превышают 1% ВВП. Страну отличает высокий уровень жизни. Если в США и странах ЕС официально считается бедными порядка 15% населения, то в Японии – около 1%. Бездомных в Токио порядка 3-4 тыс. против 50 тыс. в Нью-Йорке.
Одной из главных проблем Японии является отставание в уровне производительности труда от США. По различным оценкам, Япония на 1/3 отстает от США по этому показателю. Высокий уровень производительности труда достигнут в черной и цветной металлургии, химической промышленности, где он значительно превышает американские показатели. Во всех других отраслях отмечается отставание. Даже в таких отраслях как автомобилестроение и электротехника (где японские компании обладают сильной конкурентоспособностью), уровень производительности составляет 78 и 85% американского.
В большую проблему для Японии вырастает старение населения – в стране одна из самых больших в мире продолжительность жизни, число пожилых людей растет, что увеличивает нагрузку на системы пенсионного обеспечения и здравоохранения. В стране разваливается традиционная система "пожизненного найма", оплата по старшинству, дискриминация в оплате мужчин и женщин. С одной стороны, эти процессы усиливают интеграцию Японии в мировое сообщество, свидетельствуют о росте демократии в европейско-американском понимании, с другой – порождают нестабильность в обществе, ударяя прежде всего по людям старшего поколения.
Другая группа, значительно более крупная, чем развитые страны, охватывает более 130 развивающихся стран и территорий (в составе ООН 133 страны), которые иногда столь существенно различаются по доходу на душу населения, по структуре экономики, по социальной структуре общества, что иногда возникает сомнение относительно целесообразности включения их в одну классификационную группу. Однако, признавая чрезвычайное разнообразие «третьего мира», необходимо оценивать то общее, что объединяет его участников не только формально, но и в действительности, обнаруживая общую позицию по мировым проблемам. Общность подходов к мировым проблемам обнаруживается в общей политике, для более эффективной реализации которой развивающиеся страны создают различные межгосударственные организации (например, Организация Африканского Единства).
В эту группу включаются страны, объединенные следующими признаками:
* наличие многоукладной экономики с различными формами собственности, начиная от традиционной экономики до относительно большого государственного сектора;
* относительно низкий в целом уровень развития производительных сил: в середине 90-х годов разрыв между развитыми и развивающимися странами составлял 1:20;
* зависимое положение в мировом хозяйстве, обусловленное тем, что экономическое развитие колоний столетиями определялось не их нуждами, а потребностями метрополий, и сегодня их развитие находится в сильной зависимости от притока иностранного капитала;
* преимущественно аграрно-сырьевая направленность в экономическом развитии и монокультуртость экспорта;
* низкий уровень производимого ВВП, в том числе и на душу населения (менее 12 тыс. долл. в год), бедность, нищета значительной части населения.
На долю развивающихся стран приходится менее 30% мирового ВВП, 30% мирового экспорта, 76% населения нашей планеты, около 20% мировой торговли, но в каждой из групп стран происходят существенные изменения.
С 1950 по 2000 гг. их совокупный ВВП вырос в 4,5 раза, а в пересчете на душу населения – в 2,5 раза. Вклад отраслей промышленности в ВВП развивающихся стран возрос с 26 до 42%, сельского хозяйства – снизился с 38 до 18%, а сферы услуг – вырос с 36 до 40%. При этом темпы роста ВВП примерно в 40 развивающихся странах существенно превышают темпы роста в промышленно-развитых странах.
Развивающиеся страны значительно отстают по уровню экономического развития от первой группы. Отсталость развивающихся стран порождает большую специфику их социальных и экономических проблем, решение которых предполагает особые подходы, отличные от тех, которые используются в промышленно-развитых странах.
В связи с большим разнообразием развивающегося мира в мировой экономике их принято классифицировать по различным аналитическим критериям:
1. по регионам: Африка (50 стран), в т.ч. Африка южнее Сахары (45 стран); Азия (30 стран); Ближний Восток и Европа (18 стран Ближнего Востока, а также Мальта, Турция, Кипр); Западное полушарие (34 страны Центральной и Латинской Америки);
2. по основному экспортному товару: выделяется подгруппа стран-энергоэкспортеров (18 стран[16], в т.ч. 11 стран – члены ОПЕК), у которых доля топлива в структуре экспорта превышает 50%. Резкий рост цен на нефть в 70-е и с конца 90-х гг. по настоящее время обусловил значительное увеличение их внешних доходов. Одни страны используют их для собственной индустриализации и развития национальных экономик (Алжир, Ливия и др.), другие превратились в крупнейших мировых экспортеров ссудного капитала (ОАЭ, Саудовская Аравия, Кувейт и другие страны Ближнего Востока);
3. по темпам экономического развития выделяется подгруппа новых индустриальных стран (НИС), приблизившимся по многим показателям к странам высокого и среднего уровня развития с достаточно высокой долей промышленного производства в ВВП и высоким удельным весом обрабатывающей промышленности и машиностроения в экспорте;
4. по уровню экономического развития развивающиеся страны дифференцируются на страны с высоким уровнем развития, со средним уровнем и наименее развитые страны мира.
Богатейшие природные и людские ресурсы развивающихся стран составляют их главное достояние. Однако, 2/3 развивающихся стран не обладают значимыми запасами минерального сырья и топлива, а, следовательно, сами зависят от импорта сырья и топлива для нормального функционирования своих экономик, как, например, государства Юго-Восточной Азии, где доля импорта достигает 30%.
Можно определить следующие общие характеристики стран «третьего мира»:
1) Колониальное и полуколониальное прошлое.
На современном облике многих развивающихся стран лежит глубокий отпечаток их исторического развития, связанного с колониальным и полуколониальным прошлым. Большинство этих государств образовалось в результате национально-освободительной борьбы народов за независимость, распада колониальной системы империализма в 50 - 60-е годы прошлого столетия. В Латинской Америке формальная независимость стран была достигнута в первой половине XIX века.
2) Многоукладный характер экономики.
В колониальный период внедрение западного капитала привело к определенному подрыву традиционного воспроизводственного процесса. В колониальных и полуколониальных странах стал набирать силу товарно-капиталистический уклад. Но насаждавшееся и спонтанное капиталистическое развитие оказалось не в состоянии преобразовать существовавшие традиционные структуры. Поскольку непосредственной целью капитала является получение прибыли, он нередко «обтекал» их или создавал синтезированные объединения. Таким образом, старые структуры либо консервировались, если они отвечали интересам колонизаторов, либо подключались к механизму извлечения прибылей с помощью экономических и неэкономических методов. В последнем случае создавались образования, в которых капиталистические элементы постепенно вытесняли традиционные. Приспосабливая колониальные владения к потребностям метрополий, империализм способствовал формированию в порабощенных странах дезинтегрированного экономического строя, в котором и традиционные формы были подчинены потребностям воспроизводственных процессов метрополий.
Многоукладность представляет собой наличие ряда секторов хозяйства, характеризующихся различными формами производства от патриархально-общинной, мелкотоварной до кооперативной и монополистической. Следовательно, эти секторы имеют различные по содержанию производственные отношения и существуют как взаимосвязанная система относительно автономных структур со сложным механизмом их внутренних и внешних связей. Хозяйственные связи между укладами ограничены. Имея особый тип производства, производственных отношений, свой уровень развития, уклад обладает собственной системой ценностей, характеризуется особым образом жизни населения.
3) Масштабы распространения бедности.
Большинство развивающихся стран характеризуется очень низким уровнем жизни населения. При этом следует учесть, что основная масса населения этих стран имеет низкий уровень жизни не только по сравнению с развитыми странами, но и по сравнению с немногочисленными богатыми группами населения в своих странах. Иначе говоря, в бедных странах есть богатые, но нет среднего класса. В результате наблюдается система распределения доходов, когда доходы 20% «высших» слоев общества в 5-10 раз превышают доходы 40% низших слоев.
4) Низкий уровень производительности труда.
Согласно концепции производственной функции, существует системная зависимость между объемом производства и комбинацией создающих его факторов (труда, капитала) при существующем уровне технологии. Но эта концепция технической зависимости должна дополняться более широким подходом. Например, нужно учитывать такие факторы, как менеджмент, мотивацию труда работников, эффективность институциональных структур. В странах «третьего мира» производительность труда крайне низкая по сравнению с промышленно развитыми странами. Причина этого может быть, в частности, в отсутствии или жестком дефиците дополнительных факторов производства (физического капитала, опыта менеджмента). Для повышения производительности необходимо мобилизовать внутренние сбережения и привлечь иностранный капитал для инвестиций в вещественные факторы производства и в человеческий капитал. А это требует улучшения системы общего и специального образования, преобразований форм собственности, реформы землевладения, налоговой реформы, создания и совершенствования банковской системы, формирования некоррумпированного и эффективного административного аппарата. Необходимо учитывать также отношение работников и менеджмента к повышению своей квалификации, способность населения адаптироваться к изменениям в производстве и обществе, отношению к дисциплине, инициативность, отношение к власти. Влияние низких доходов на производительность труда в странах «третьего мира» проявляется в плохом состоянии здоровья основной массы населения. Известно, что плохое питание в детстве крайне негативно влияет на физическое и интеллектуальное развитие ребенка. Нерациональная и неполноценная диета, отсутствие элементарных условий личной гигиены могут в будущем подорвать здоровье работников, отрицательно повлиять на трудовую мотивацию. Низкий уровень производительности в этой ситуации вызван во многом апатией, физической и эмоциональной неспособностью противостоять конкуренции на рынке труда.
5) Высокие темпы роста населения.
Наиболее явный показатель, характеризующий различия между промышленно развитыми странами - это коэффициент рождаемости. Ни одна развитая страна не достигает уровня рождаемости 20 родившихся на 1000 чел. населения. В развивающихся странах уровень рождаемости варьирует от 20 человек (Аргентина, Китай, Таиланд,) до более 50 человек (Нигер, Замбия, Руанда, Танзания, Уганда, Нигерия). При этом коэффициент смертности в развивающихся странах не выше, чем в промышленно развитых, улучшение здравоохранения в странах третьего мира, помощь ООН делает различие незначительным. Поэтому темпы роста населения в развивающихся странах сегодня составляют в среднем 2% (2,3% без Китая), в наименее развитых доходят до 2,9 %, а в промышленно развитых странах - 0,5% - 0,7% в год. Из 145 млн. детей, ежегодно рождающихся в мире, на развивающиеся страны приходится 137 млн. Население Азии ежегодно увеличивается на 45 млн. чел., Африки – на 30 млн. чел., Латинской Америки – на 7 млн. чел. Поэтому в странах «третьего мира » примерно 40% населения - это дети в возрасте до 15 лет (менее 21% в развитых странах). В большинстве стран «третьего мира » нагрузка на экономически активную часть населения (от 15 до 64 лет) по содержанию нетрудоспособной части общества почти в 2 раза выше, чем в промышленно развитых странах.
6) Высокий и растущий уровень безработицы.
Сам по себе рост населения не является негативным фактором экономического развития. Но в условиях экономического застоя не создаются дополнительные рабочие места, поэтому высокий естественный прирост населения порождает огромную безработицу. В целом по развивающемуся миру полностью или частично безработными являются примерно 45% трудоспособного населения, в то время как население, находящееся за чертой бедности, хотя и относительно уменьшается, но абсолютно продолжает расти. В частности с 1975 по 1998 г. его доля понизилась с 56 до 38%, но его численность возросла с 1,1 до 1,2 млрд. чел.
7) Большая зависимость от сельскохозяйственного производства и экспорта топлива и сырья.
Примерно 65% населения развивающихся стран живет в сельской местности, а в промышленно развитых - 27%. В сельскохозяйственном производстве занято более 60% рабочей силы в странах «третьего мира» и всего 7% в промышленно развитых странах, при этом вклад аграрного сектора в создание ВВП около 20% и 3% соответственно. Сосредоточение рабочей силы в аграрном секторе и первичном секторе промышленности обусловлено тем, что низкие доходы вынуждают людей заботиться в первую очередь о пропитании, одежде, жилье. Производительность сельскохозяйственного производства низка из-за избытка рабочей силы по отношению к площади природной для обработки земли, а также из-за примитивной технологии, плохой организации, нехватки материальных ресурсов и низкого качества рабочей силы.
Положение осложняется системой землепользования, при которой крестьяне чаще всего являются не собственниками, а арендаторами маленьких участков. Такой характер аграрных отношений не создает экономических стимулов к росту производительности. Но даже в странах, где земля избыточна, примитивные орудия труда не дают возможности обрабатывать участок площадью более 5-8 га.
Кроме доминирования аграрного сектора в экономике, в странах «третьего мира» наблюдается экспорт первичной продукции (сельского хозяйства и лесоводства, топлива и других видов минерального сырья). В странах Африки к югу от Сахары первичная продукция обеспечивает более 92% валютной выручки.
Данная зависимость проявляется также и в том, что развивающиеся страны до 65% своего экспорта направляют в развитые, тогда как последние направляют в развивающиеся страны всего 20% своего экспорта. Принятые в рамках ГАТТ/ВТО решения о прекращении субсидирования продукции сельского хозяйства в развивающихся странах наносит сильный удар по экономике наименее развитых стран с высокой себестоимостью сельскохозяйственной продукции. Кроме того, на мировом рынке на многие товары установились низкие цены – бананы, кофе, какао, сильные колебания испытывают цены на минеральное сырье. В результате растет дефицит торгового баланса беднейших стран.
8) Подчиненное положение, уязвимость в системе международных экономических отношений.
Необходимо подчеркнуть резкое неравенство экономической и политической мощи стран «третьего мира» и промышленно развитых стран. Оно проявляется в доминировании богатых стран в международной торговле, в возможности последних диктовать условия передачи технологий, инвестиций и иностранной помощи.
Существенный, хотя и менее явный фактор сохранения слаборазвитости - перенос в развивающиеся страны системы западных ценностей, поведения и институтов. Например, насаждение в прошлом в колониях неподходящих для них систем и программ образования, организация профсоюзов и административных систем по западным образцам. Сегодня еще большее влияние оказывают высокие экономические и социальные стандарты развитых стран (демонстрационный эффект). Образ жизни западной элиты, стремление к богатству могут способствовать коррупции, расхищению национального богатства в развивающихся странах привилегированным меньшинством. Наконец, «утечка мозгов» из стран «третьего мира » в развитые страны также негативно влияет на экономическое развитие эмиграции квалифицированного персонала. Совокупное воздействие всех негативных факторов определяет уязвимость развивающихся стран от внешних факторов, которые могут оказать главное влияние на их экономическое и социальное положение.
Большое значение имеет также проблема внешней задолженности развивающихся стран. К середине 90-х гг. объем совокупного внешнего долга составлял $ 1,4 трлн., а в начале XXI в. он увеличился до $ 2,3 трлн. С конца 90-х гг. развитые страны не раз ставили вопрос (и реализовавывали на практике) о списании части долгов наименее развитым странам, таким как Мозамбик, Уганда, Мали, Мавритании, Кот-д`Ивуар.
9). Зависимость от импорта капитала из развитых стран. За 90-е гг. импорт капитала вырос более чем в 3 раза, составив в 2000 г. $ 180 млрд. В 2005 г. в развивающиеся страны было инвестировано $ 340 млрд. Проблема состоит в том, что основная масса инвестиций приходится на 13 наиболее благополучных стран: 4 страны АСЕАН, 3 НИС, КНР, Мексика, Индия, Турция, Аргентина, Бразилия.
На мировом рынке товаров развивающиеся страны выступают, главным образом, в качестве поставщиков минерального сырья, сельскохозяйственной продукции, продукции пищевой промышленности. Такой экспорт обеспечивает развивающимся странам 50-100% экспортных доходов. В структуре импорта преобладают машины и оборудование (34%) и прочая продукция обрабатывающей промышленности. Для стран Тропической Африки и Южной Азии характерна высокая доля импорта товаров. В Латинской Америке заметна большая потребность (кроме стран-нефтедобытчиков) в импорте топлива. Подавляющее большинство из развивающихся стран являются импортерами прямых иностранных инвестиций и ссудного капитала, при том, что часть из них сами являются экспортерами капитала.
Таблица 15.
Доля развивающихся стран в мировом
экспорте, %
|
Группы стран, регионы |
1950 |
1960 |
1970 |
1980 |
1990 |
1999 |
2004 |
|
Африка |
5,3 |
4,2 |
4,1 |
4,6 |
2,3 |
2,2 |
2,5 |
|
Азия |
15,2 |
11,5 |
8,5 |
18,4 |
16,6 |
21,4 |
9,8 |
|
Западная Азия |
3,3 |
3,3 |
3,1 |
10,4 |
3,7 |
2,8 |
3,0 |
|
Наименее развитые страны |
2,8 |
2.5 |
1,7 |
0,7 |
0,4 |
0,3 |
0,2 |
|
Все страны |
33,0 |
23,9 |
18,9 |
29,0 |
23,6 |
28,2 |
15,5 |
Разнообразие развивающихся стран вызывает необходимость определенной классификации, которая могла бы отражать их дифференциацию. Для оценки степени их дифференциации могут быть применены 7 показателей:
1) Размеры стран (территория, численность населения и доход на душу населения).
Из числа развивающихся стран - членов ООН 90 стран имеют численность населения менее 15 млн. человек. Большие страны соседствуют с малыми. Обширная территория обычно дает преимущества: обладание природными ресурсами и емкими потенциальными рынками, меньшая зависимость от импорта сырья.
2) Особенности исторического развития и колониального периода.
Большинство развивающихся стран было в прошлом колониями западноевропейских стран, США, Японии. Экономические структуры, социальные институты колоний создавались по образцу и подобию метрополий.
3) Обеспеченность материальными и трудовыми ресурсами.
Часть развивающихся стран очень богаты минеральными ресурсами (страны Персидского залива, Бразилия, Замбия), другие - очень бедные (Бангладеш, Гаити, Чад и др.).
4) Роль частного и государственного сектора.
В целом частный сектор в экономике более развит в странах Латинской Америки и Юго-Восточной Азии, чем в Южной Азии и Африке.
5) Характер производственных структур.
Существует определенная дифференциация отраслевой структуры экономики развивающихся стран, хотя большинство из них являются аграрно-сырьевыми. Натуральное и товарное сельскохозяйственное производство обеспечивает занятость большей части населения. Но в 70-90-е годы Южная Корея, Тайвань, Сингапур, Гонконг и Малайзия резко ускорили развитие обрабатывающей промышленности и фактически превратились в промышленные страны.
6) Степень зависимости от внешних экономических и политических сил.
На степень зависимости от внешних факторов влияют обеспеченность страны материальными ресурсам, структура экономики и внешнеэкономических связей.
7) Институциональная и политическая структура общества.
Политическая структура, интересы социальных групп и союзы правящих элит (крупных землевладельцев, компрадорской части крупного бизнеса, банкиров, военных) обычно предопределяют стратегию развития, и могут быть тормозом прогрессивных изменений экономики и общества, консервируя экономическую отсталость, если происходящие изменения серьезно ущемляют их интересы.
При этом следует отметить, что как бы ни складывалось соотношение сил между военными, промышленными и крупными землевладельцами в Латинской Америке, между политиками, высшими чиновниками и лидерами племенных кланов в Африке, между нефтяными шейхами и финансовыми магнатами на Ближнем Востоке, большинство развивающихся стран открыто или завуалировано управляется малочисленными, но богатыми и мощными элитами. Демократические атрибуты (выборы в местные органы власти и в парламент, свобода слова) часто являются лишь ширмой, которая прикрывает реальную власть в стране.
Обобщенно говоря, главными направлениями развития стран после обретения независимости становились:
1. создание импортозамещающих отраслей, ориентированных на производство товаров (первоначально самых простых предметов потребления);
2. создание экспортно-ориентированных отраслей экономики.
Ситуация в этом направлении начала улучшаться еще в 60-е гг., когда многие страны перестраивали структуру своего экспорта за счет увеличения доли промышленной продукции. Настоящий перелом произошел в связи с энергетическим кризисом середины 70-х гг., когда, за счет резкого повышения цен на нефть, существенно выросли доходы стран-экспортеров нефти. В 80-е гг. произошло падение цен на сырье, вследствие чего стремление к созданию экспортно-ориентированной экономики только усилилось.
Поэтому сегодня такие страны как Индия, Египет, Мексика, Бразилия, Южная Корея, Сингапур работают главным образом на экспорт и на мировом рынке уверенно теснят товары из США и Японии. В число стран-экспортеров промышленной продукции входят также Вьетнам, Марокко, Мьянма (Бирма), Непал, Тунис, Шри-Ланка.
Развивающиеся страны можно классифицировать по следующим признакам:
1) степень развития рыночных отношений;
2) глубина и формы включения в мировые экономические связи;
3) уровень ВВП на душу населения.
При типологии важно учитывать уровень развития и структуру производительных сил государств и те черты социально-экономической действительности, которые наиболее точно отражают и сегодняшнее положение, и ближайшие перспективы стран. Используя эти критерии, условно можно выделить три уровня развивающихся стран.
Верхний уровень составляют страны, в которых государственный, иностранный и местный частный капитал образовал интегрированные системы. Эти страны прочно включены в мировое хозяйство. Наиболее характерными являются:
1) страны, в которых в течение длительного времени существуют рыночные формы хозяйствования, но которые не сумели в силу ряда социально-исторических причин утвердить высшие формы экономической организации в народнохозяйственном масштабе и занять привилегированные позиции в мировом хозяйстве. К этим странам можно отнести Аргентину, Уругвай, Чили;
2) новые индустриальные страны - страны с крупным экономическим и демографическим потенциалом и с многоотраслевым по структуре промышленным сектором, которые достигли высокого уровня технологической, экономической и организационной зрелости. По одной из классификаций, используемых ООН для отнесения страны к категории НИС необходимо отвечать следующим требованиям:
· не менее 30% промышленной продукции в структуре ВВП;
· более 50% готовой продукции в структуре экспорта;
· ВВП на душу населения – не менее $ 1 тыс.
· страна должна иметь экономику, способную к оперативным (не более 5 лет) преобразованиям и перестройкам.
По времени появления различают:
¨ НИС первой волны – Южная Корея, Сингапур, Тайвань, Гонконг;
¨ НИС второй волны – Бразилия, Мексика, Аргентина;
¨ НИС третьей волны – Филиппины, Малайзия, Таиланд.
Эксперты ОЭСР включают в число НИС только 6 стран: Южная Корея, Сингапур, Тайвань, Гонконг, Бразилия и Мексика (сегодня осталось, т.о., 5). Однако тот же Сингапур по многим показателям уступает Малайзии и Таиланду. Практически сформировались НИС четвертой волны в составе Индонезии, Китая, Вьетнама. Некоторые исследователи относят к НИС также Венесуэлу, Колумбию, Перу, Уругвай, Чили.
Для НИС характерны более высокие темпы хозяйственного развития, превышающие аналогичные показатели других развивающихся и промышленно развитых стран. Ведущей отраслью экономического развития почти всех НИС стала многоотраслевая обрабатывающая промышленность. Основной статьей экспорта всех НИС стали обработанные товары. У 15 стран они превышают 50% их экспорта. В экономическом развитии для большинства из них характерны тенденции, присущие зрелой капиталистической экономике. Идет процесс концентрации производства и капитала, формируется финансовый капитал. В наиболее развитых странах образовались ТНК.
В Южной Америке к НИС относятся Бразилия, Мексика и др. О роли Мексики в мировом хозяйстве достаточно красноречиво свидетельствует тот факт, что она является членом ОЭСР, а также (вместе с США и Канадой) членом Североамериканского соглашения о свободной торговле (НАФТА). Уровень ВВП на душу населения НИС соответствует таким промышленно развитым странам, как ЮАР, Греция, Португалия. Вхождение этих развивающихся стран в промежуточную зону сохраняет целостность мировой хозяйственной системы. Их характеризуют тесные связи с финансовой системой развитых стран. Для всех НИС характерен высокий уровень внешней задолженности ведущим развитым странам. Экономика стран данной группы, активно участвующих в международном разделении труда, зависит от динамики развития мирового хозяйства;
3) новые индустриальные страны Юго-Восточной Азии (НИС ЮВА), динамичное развитие и активное участие в международном разделении труда которых основывается на освоении современных высокотехнологичных производств при господстве рыночных отношений во всех сферах экономики. К ним относят Гонконг (ныне Сянган – особый экономический район Китая), Республику Корея, Сингапур, Тайвань - «четыре азиатских тигра» или «дракона». Темпы роста ВВП у них в 1960 – 1990 гг. составляли примерно 8% в год, тогда как в странах Западной Европы – 2%.
НИС ЮВА, взявшие на вооружение экспортно-ориентированную стратегию индустриализации, совершили впечатляющий экономический рывок[17]. Среди главных факторов их успеха - первостепенное внимание образованию, высокий уровень национальных сбережений, государственная политика содействия экономическому росту, ставка на международную промышленную специализацию и кооперацию. Азиатские НИС во многом повторили японскую хозяйственную модель, адаптировав многие хозяйственные методы Японии. Не случайно экономисты сравнивают Восточную Азию с «летящей гусиной стаей», где Япония играет роль вожака, за которым следуют НИС.
Основой экономики НИС стала обрабатывающая промышленность, широкое использование высоких технологий, высокая производительность труда, относительно низкие издержки производства.
В то же время здесь несравненно большую роль, чем в Японии, сыграли зарубежные ТНК. Создание экспортного потенциала азиатских НИС обусловлено выходом ТНК за рамки национальных границ и активным перемещением из развитых стран в НИС трудо-, энерго- и материалоемких производств, а также выпуска массовой потребительской продукции, отработавшей свой жизненный ресурс в развитых странах. Эти страны оказались для ТНК привлекательными прежде всего дешевизной рабочей силы и возможностью ее более интенсивного использования. Налажен выпуск самой разнообразной продукции - от товаров широкого потребления до компьютеров, сверхбольших интегральных схем, автомобилей, судов и самолетов. Главной «визитной карточкой» азиатских НИС являются сейчас производство бытовой электроники и компьютерная индустрия. Так, Сингапур специализируется на производстве твердых дисков, дисководов для компьютеров, Южная Корея – на производстве телевизоров, съемных дисков, Тайвань – на производстве мониторов, швейных машинок.
Произведенная в НИС Азии продукция идет в первую очередь на экспорт в промышленно развитые страны. По совокупной стоимости вывоза НИС Азии (вместе взятые) сейчас уступают в мире лишь США и Германии, причем доля промышленных изделий в их экспорте составляет от 71 (Таиланд) до 96% (Тайвань).
Особое место среди НИС Азии занимает Южная Корея, на доля которой приходится 2% мирового ВВП, при том, что там проживает всего 0,8% населения мира. Еще в 50-х гг. ВВП на душу в Южной Корее не превышал 100 долл., т.е она входила в число беднейших стран мира. Сельское хозяйство, помол муки, производство сахара и хлопка составляли основные занятия жителей. Создание экспортоориентированных производств на базе японских и американских капиталов позволило ВВП Южной Кореи прирастать по 8-10% в год, с удвоением реального дохода на душу населения каждые 10 лет. В итоге сегодня Южная Корея – центр наукоемкого машиностроения, судостроения, атомной энергетики, научных изысканий. С 1996 г. МВФ по уровню ВВП относит Южную Корею к числу развитых стран.
Особенно впечатляюще выглядят успехи Китайской народной республики, которой удается все последние годы обеспечивать один из самых высоких темпов прироста ВВП среди стран мира: в 2002 г. – 8%, в 2003 г. – 7,5% (помешала атипичная пневмония), в 2004 г. – 8,9%, в 2005 г. – 9,8%. В 90-е гг., правда, Китай показывал еще более впечатляющие темпы роста – по 10% в среднем.
В 1997-1998 гг. большинство НИС Азии оказалось в эпицентре международного финансового кризиса. В наибольшей степени от него пострадали Таиланд и Республика Корея. Пошли разговоры о конце «азиатского экономического чуда». Однако азиатские НИС продемонстрировали способность к быстрой экономической регенерации. После девальвации национальных валют и антикризисных мер, предпринятых правительствами совместно с МВФ, с 1999 г. там растет (хотя медленнее, чем до кризиса) реальный ВВП, наблюдается настоящий экспортный бум, восстанавливаются фондовые рынки, увеличиваются золотовалютные резервы, растут курсы валют по отношению к доллару США. В то же время кризис показал уязвимые места «азиатской модели» и поставил на повестку дня необходимость региональной экономической интеграции по типу ЕС. Без нее страны Восточной и Юго-Восточной Азии обречены на постоянное отставание на один шаг от «богатого Запада», занимаясь массовым тиражированием уже отработанных технологий.
Страны НИС (как азиатские, так и латиноамериканские) обладают рядом притягательных для иностранных инвестиций чертами: значительными сырьевыми ресурсами (латиноамериканские страны), дешевой рабочей силой, емким внутренним рынком, достаточно развитой инфраструктурой, включая банковский и страховой секторы.
4) иные страны и территории с относительно высоким уровнем современного экономического развития (Багамские острова, Кипр, Аомынь (Макао).
На среднем уровне находятся страны с так называемой дуальной экономикой:
1) крупные и средние страны, современное развитие которых началось «в обход» массивных традиционных структур (Турция, Таиланд, Египет и др.). Турция является членом НАТО, а также ОЭСР;
2) страны, современное развитие которых началось сравнительно недавно и основывалось преимущественно на их включении в мировое хозяйство по линии поставок сырья, пользовавшегося большим спросом на мировом рынке. В этих странах формируется капитало-экспортирующее направление. Вывоз капитала в значительных размерах направляется как в развивающиеся, так и в высокоразвитые страны. Эту группу также образуют нефтеэкспортирующие страны (табл.7), обладающие уникальнымиресурсами, образно говоря, «набившие карманы» нефтедолларами (Катар, Кувейт, Бахрейн, Саудовская Аравия, Ливия, ОАЭ, Ирак и др.). Их характерные признаки: высокий доход на душу населения, солидный природно-ресурсный потенциал развития, важная роль на рынке энергетического сырья и финансовых средств, выгодное экономико-географическое положение. Соотношение между доходами от нефти и численностью населения создает специфические условия, позволяющие накапливать гигантские богатства. В этих странах велик уровень ВВП на душу населения: например, в Брунее - $ 29 тыс. (уровень развитых стран), в Кувейте около $ 25 тыс., в ОАЭ – $ 17 тыс., Катар - $ 12 тыс. Ежегодно добывается порядка 3,6 млрд. т. нефти, примерно 40% добычи приходится на страны ОПЕК. Особенностью данной группы стран является также то, что многие из них являются крупными экспортерами капитала в развитые страны: Саудовская Аравия вывозит $ 100-120 млрд. в год, Кувейт – $ 80-100 млрд., ОАЭ – $ 40-45 млрд.
Основные экспортеры нефти
Алжир Габон Конго Оман
Ангола Индонезия Кувейт Саудовская Аравия
Бахрейн Ирак Ливия Сирия
Бруней Иран Нигерия Тринидад и Тобаго
Венесуэла Катар ОАЭ Эквадор
3) страны с крупным демографическим и экономическим потенциалом, но с низким уровнем дохода на душу населения: Индия, Пакистан, Индонезия. Эти государства заняли видное место в системе международных экономических связей, вызвали мощный приток внешних ресурсов в виде вложений иностранного капитала. Но низкие величины производства и потребления на душу населения (ВВП на душу населения - около 300 долл.) заметно тормозят их социально-экономическое развитие.
По абсолютным масштабам экономики среди стран верхнего и среднего уровня выделяется так называемая «большая семерка Юга» (КНР, Индия, Бразилия, Индонезия, Мексика, Республика Корея, Таиланд).
На нижнем уровне находятся наименее развитые страны (50 стран на начало 2006 г.):
1) Ангола
2) Замбия
3) Малави
4) Сомали
5) Афганистан
6) Йемен
7) Мали
8) Судан
9) Бангладеш
10) Кабо-Верде
11) Мальдивы
12) Сьерра-Леоне
13) Бенин
14) Камбоджа
15) Мозамбик
16) Танзания
17) Буркина-Фасо
18) Кирибати
19) Мьянма
20) Того
21) Бурунди
22) Коморы
23) Непал
24) Тувалу
25) Бутан
26) Конго, Дем. Респ.
27) Нигер
28) Уганда
29) Вануату
30) Лаос
31) Руанда
32) Центральноафриканская Республика
33) Гамбия
34) Лесото
35) Самоа (Западное)
36) Чад
37) Гаити
38) Либерия
39) Сан-Томе и Принсипи
40) Экваториальная Гвинея
41) Гвинея
42) Мавритания
43) Сенегал
44) Эритрея
45) Гвинея-Бисау
46) Мадагаскар
47) Соломоновы Острова
48) Эфиопия
49) Джибути
50) Тимор-Лешти
Данная группа государств впервые была выделена ООН в 1971 г. Главными критериями, которые в тот период использовались ООН для отнесения к данной группе, являлись:
· очень низкие доходы на душу населения – не более $ 100 ВВП на душу населения;
· доля обрабатывающей промышленности составляет менее 10% в структуре национальной экономики;
· доля неграмотных среди взрослого населения (старше 20 лет) составляет более 80%.
В 2003 г. ЭКОСОС ООН использовал три критерия, предложенные Комитетом по политике в области развития:
1. критерий низкого уровня дохода, рассчитываемый как приблизительное среднее значение ВВП на душу населения за последние три года (менее 750 долл. для включения в группу, более 900 долл. для исключения из группы);
2. критерий слабости людских ресурсов, рассчитываемый с помощью сложного индекса реального качества жизни (РИРКД) на основе показателей:
a) питания,
b) здоровья,
c) образования,
d) грамотности взрослого населения
3. критерий экономической уязвимости, рассчитываемый с использованием сложного индекса экономической уязвимости (ИЭУ) на основе показателей:
a) нестабильности сельскохозяйственного производства,
b) нестабильности экспорта товаров и услуг,
c) экономической значимости нетрадиционных видов деятельности (доля обрабатывающей промышленности и услуг в ВВП),
d) концентрации товарного экспорта,
e) негативного влияния узости экономической базы и доли населения, перемещаемого в результате стихийных бедствий.
Кроме того, в эту категорию не включаются страны с большим количеством населения, не более 75 млн. чел.
Некоторые из них не имеют выхода к морю и слабо связаны с внешним миром. В этих странах чрезвычайно низкий доход на душу населения (например, в Мозамбике – 80 долл. на человека, в Танзании – 100 долл., в Эфиопии - 120 долл., в Сьерра-Леоне –140 долл.) повсеместно преобладают доиндустриальные формы труда. Они не обладают способностью к саморазвитию и не имеют внутренних источников преодоления низкого уровня развития. На их территории проживает 10,3% населения мира, но они производят только 0,6% мирового продукта, а средний доход на душу равен только 25% среднего уровня развивающихся стран.
В группу наименее развитых стран входят малые по численности населения страны, за исключением Бангладеш, - свыше 120 млн., Эфиопия - 60 млн., Демократическая Республика Конго, Мьянма - свыше 50 млн. человек. Средняя ожидаемая продолжительность жизни - чуть больше 50 лет. Средний показатель грамотности взрослого населения в этой группе стран составляет всего 40%.
В производстве наименее развитых стран основное место занимает сельское хозяйство - свыше 38% ВВП. В сельском хозяйстве этих стран занято 73% рабочей силы, а во всех развивающихся странах - 59%.
Темпы экономического роста этой группы стран уступали соответствующим показателям развивающихся стран в целом. В 1998 г. средний доход на душу населения в них составлял только 20% среднего уровня всех развивающихся стран (1980 г. - 28%). Снижение уровня экономического развития произошло в связи с ухудшением внешних факторов развития, с ростом их зависимости от экспорта сырьевых товаров. Эта подгруппа сохраняется в качестве отсталого сырьевого придатка западных стран. Доля обрабатывающей промышленности в их производстве в 90-е годы XX в. сократилась до уровня 1970 г. - 9% ВВП.
Помимо указанных общих причин отрицательное влияние на экономическое развитие ряда беднейших стран оказывает значительная социальная и политическая нестабильность. Огромный ущерб хозяйству Анголы, Демократической Республики Конго, Мозамбика, Сомали, Эфиопии нанесли гражданские войны. Хозяйственное развитие данной подгруппы тормозят традиционные секторы, особенно в сельском хозяйстве. В результате они все больше отстают от основных направлений научно-технического и социального прогресса. Примерно половина населения развивающихся стран все еще живет в условиях замкнутых экономик, не затронутых современными глобализационными процессами и достижениями современной цивилизации[18]. Если основные движущие силы развития многих стран периферии мирового хозяйства находятся внутри них, то для наименее развитых стран внешний фактор играет почти абсолютную роль. Все попытки этих стран вырваться из порочного круга нищеты собственными силами до сих пор не привели к заметному изменению их положения. Иногда эту группу развивающихся стран называют «четвертым миром».
В страны переходной экономики включают:
· 12 стран Центральной и Восточной Европы (ЦВЕ);
· 15 республик бывшего СССР;
· Монголия.
Иногда всю эту группу стран относят к развивающимся (например, в статистике МВФ), исходя из низкого уровня ВВП на душу населения (только у Чехии и Словении он превышает 10 тыс. долл.).
Некоторые исследователи относят к данной группе также Китай и Вьетнам, хотя формально они продолжают дело строительства социализма.
На долю этой группы стран (без КНР и Вьетнама) приходится около 5% мирового ВВП, в т.ч. страны ЦВЕ – не более 2%, республики бывшего СССР и Монголия – 3% (в т.ч. Россия – 1,2%).
Основанием для выделения данной группы стран является сходство отраслевой и, прежде всего, институциональной структуры экономики. Абсолютное доминирование государственной собственности во всех странах определяло структуру ВВП, темпы экономического роста. Государственное централизованное планирование, а не рыночный спрос формировал структуру отраслей, внутриотраслевые и межотраслевые пропорции. Данная система экономического развития по мере исчерпания природных ресурсов в СССР обнаружила свою неэффективность по сравнению с рыночной. Темпы роста в странах «социалистического лагеря» снижались, экономическая эффективность производства была значительно ниже, чем в развитых странах, качество продукции также было низким. Все попытки использовать рыночные механизмы в рамках доминирования централизованного государственного планирования ожидаемого результата не дали, хотя позволили несколько повысить эффективность в некоторых странах, (как это было, например, в Венгрии). После краха коммунистической политической надстройки в СССР и странах ЦВЕ трансформация экономического базиса стала неизбежной.
Главное сходство стран переходной экономики заключалось в том, что они имели общие объекты трансформации экономики и сходные методы преобразований. Главный объект трансформации - государственная собственность должна была быть преобразована в частную путем приватизации. И процесс приватизации государственной собственности охватил все страны переходной экономики.
Другой важный объект преобразований - ценообразование. Переход от директивного ценообразования к рыночным свободным ценам осуществлялся путем либерализации цен (постепенной или «шоковой»).
Не менее важными объектами преобразований являются также изменение системы управления экономическими процессами, перестройка отраслевой структуры в соответствии с требованиями современной мировой экономики, прежде всего отказ от тотального господства плана в его советском понимании.
Таким образом, специфика стран переходной экономики заключается в том, что экономические системы, уже не являются плановыми, но еще не включают все необходимые элементы рыночного хозяйства (развитая банковская и финансовая системы, устойчивая законодательная база, свободно конвертируемая валюта и т.д.).
Переход к рыночной экономике поставил вопрос о моделях проведения рыночных преобразований. Практика проведения реформ в странах переходной экономики показала, что существуют два подхода, две модели их проведения:
· модель быстрых радикальных реформ ("шоковая терапия";
· модель постепенных (градуалистских), эволюционных изменений.
Модель "шоковой терапии" представляет собой экономическую концепцию и систему практических мер, которая считает инструментом формирования рынка и антиинфляционной политики одномоментную либерализацию цен, резкое сокращение государственных расходов и достижение бездефицитного бюджета. Теоретической основой модели "шоковой терапии" стали идеи "монетаризма", автором которого является Милтон Фридмен – американский экономист. Монетаризм как экономическое учение исходит из того, что рынок - это самая эффективная форма экономической деятельности, поскольку он способен к самоорганизации. Поэтому монетаристы утверждают, что преобразования переходного периода должны происходить с минимальным участием государства.
Поэтому монетаристы делают большой упор на либерализацию экономики, полагая, что это обеспечит самоорганизацию рынка. Опыт проведения реформ в странах с переходной экономикой в целом подтвердил данный тезис. Хозяйствующие субъекты с успехом создавали рыночные организации (институты), вырабатывали нормы рыночной экономики, проявляли способность к самоорганизации. Одновременно практика проведения реформ показала, что одной либерализации недостаточно, т.к. одновременно возникали и институты, враждебные идеям рыночной экономики (теневая экономика, влияние преступных сообществ на экономическую жизнь и т.п.). Кроме того, либерализация в монетаристском варианте рассчитана на очень длительный период времени, и вмешательство государства способно существенно сократить этот период.
Что касается второй, градуалистской, модели перехода к рынку, то в наболее концентрированном виде ее можно наблюдать в Китае, который вступил на путь реформ с конца 70-х гг. и сумел сохранить традиционные институты власти одновременно с развитием рыночных отношений. Однако только часть исследователей относит Китай к странам с переходной экономикой. В остальных странах использовались элементы обеих моделей.
Практически все страны реализовали в том или ином виде концепцию "шоковой терапии". В Польше, Чехии и Эстонии опыт оказался весьма успешным. В наиболее полном виде концепция "шоковой терапии" была реализована в Польше в самом начале 90-х гг. Правительству Л. Бальцеровича за 2-3 года удалось подавить инфляцию, и уже с 1994 г. начался рост ВВП (см. таблицу 16). В России в 90-х гг. использовались как методы "шоковой терапии", так и градуалистского подхода к реформе цен.
Программа "шоковой терапии" включает, как можно заключить из опыта реформ, четыре пакета мер.
В состав первого пакета относятся меры по либерализации экономики. Они включают комплекс мер по реформе цен и рынков:
a) реформа внутренних цен;
b) либерализация системы распределения;
c) либерализация внешней торговли;
d) либерализация рынка рабочей силы и системы заработной платы;
e) реформа банковской системы;
f) создание финансовых рынков.
Либерализация цен служит предпосылкой и основой создания конкурентных отношений как основы рыночной экономики. Задача создания финансовых рынков и рынка рабочей силы остается главной в этом пакете мероприятий.
Второй пакет мер нацелен на создание частного сектора. В данный пакет мер входят:
a) развитие частного сектора;
b) создание рыночной инфрастуктуры (банков, бирж, фондов и т.п.), формирование нового законодательства, а также правил и норм, регулирующих поведение субъектов экономики в различных сферах (бюджета, налогов, предпринимательства и т.д.);
c) приватизация или денационализация предприятий;
d) структурная перестройка экономики;
e) перестройка системы планирования и снабжения;
f) ликвидация государственных монополий и создание конкурентной среды.
Первый шаг в этом направлении заключается в четкой формулировке прав государственной собственности и разделении функций государства как органа в целом. Важное место занимает осуществление программ приватизации и денационализации предприятий. Так, в России приватизировались в основном мелкие и средние предприятия, а крупные (за отсутствием платежеспособного спроса) пришлось денационализировать. В странах ЦВЕ создание частного сектора шло в основном по пути приватизации, а крупные предприятия оставались в собственности государства. Практиковалось и странах ЦВЕ, и в страна СНГ сдача предприятий в аренду иностранным хозяйствующим субъектам и создание совместных предприятий. Важной задачей данного пакета мер является ликвидация государственных монополий (за исключением т.н. "естественных"), закрытия убыточных производств, перепрофилирование предприятий, перемещения или увольнения избыточной рабочей силы.
Третий пакет мер направлен на пересмотр роли государства в экономике в целом. Он включает в себя:
a) ограничение прав государственной собственности;
b) ограничение прямой хозяйственной деятельности;
c) регулирование экономики с помощью макроэкономических показателей;
d) усиление регулирующей функции в социальной сфере.
Третий пакет мер требует переосмысления роли государства в экономике: оно должно отказаться от прямой собственности, тотального планирования и контроля за производством и заменить их макроэкономическим регулированием, нацеленным на поощрение частной предпринимательской деятельности. Другая важная задача государства — реформировать систему социального обеспечения и создать гибкую систему социальной поддержки, позволяющую смягчить последствия безработицы, которая существенно выросла при проведении "шоковой терапии" (см. таблицу 18). Государство должно установить соответствующие юридические рамки для коллективных сделок и деятельности частного сектора и сформировать законодательные институты, обеспечивающие их соблюдение. Необходимо реформировать основные правительственные институты, включая центральный банк и налоговые ведомства, провести корректировку статей бюджета, наладить систему контроля.
Четвертый пакет мер нацелен на достижение макроэкономической стабилизации. Он включает в себя:
a) новая фискальная политика;
b) изменение денежно-кредитной системы;
c) институциональная реформа;
d) социальные гарантии.
Макроэкономическая стабилизация предполагает ужесточение налоговой и кредитной политики по отношению к предприятиям, исправление различных диспропорций, порожденных «избытком» денежной массы. В результате на рынке (прежде всего, потребительском) должно наступить равновесие, а государственный бюджет достигнет сбалансированности. Тем самым будет ликвидирован инфляционный потенциал в виде излишнего количества денег у населения и предприятий. Задачей данного пакета мер является формирование экономики социальной ориентации, проведение мер помощи бедным слоям населения, создание новой, рыночной, системы социальной защиты.
Разумеется, все указанные меры тесно переплетены, и вряд ли можно говорить о какой-либо "чистой" концепции "шоковой терапии". Кроме того, в ряде стран в указанные пакеты мер вносились существенные коррективы с учетом уровня их развития и историко-национальных особенностей.
На начальном этапе экономической либерализации результатами стали замедление экономического роста, повышение инфляции и безработицы, рост преступности, сокращение реальных доходов населения.
В ходе проведения реформ страны с переходной экономикой столкнулись с тремя основными проблемами.
Первой проблемой стало падение ВВП. Снижение темпов прироста ВВП произошло практически во всех странах с переходной экономикой вне зависимости от выбранного варианта развития (таблицы 16,19). Однако при "шоковой терапии" предполагалось, что если падение производства и ВВП и произойдет, то оно будет незначительным. Падение ВВП оказалось очень значительным в странах Балтии, Словакии, Румынии, Болгарии, в Армении, Азербайджане, Кыргызстане, Украине.
Второй проблемой стал рост инфляции. Нельзя не отметить, что вследствие либерализации цен инфляция достигала четырехзначных показателей, например, в Литве и Эстонии, трехзначных в Румынии и Болгарии (таблица 17). При этом некоторые страны вплоть до середины 1990-х гг. не могли снизить инфляцию, и лишь применение жестких мер (в частности, политики валютного комитета в Болгарии) способствовало ценовой стабилизации. В странах, возникших на территории бывшего СССР, отмечалась и пятизначная инфляция, а четырехзначную испытали практически все страны.
Третьей проблемой, с которой столкнулись страны с переходной экономикой, стала безработица. Во время функционирования командно-административной системы обеспечивалась практически полная занятость населения с социальными гарантиями, бесплатным здравоохранением, образованием, жильем другими льготами. С введением рыночных отношений картина изменилась. Вместе с тем уровень безработицы вырос лишь относительно прошлых периодов и стал сопоставимым с аналогичными показателями в Европе (10 процентов), США (5 процентов), Японии(4 процента) и Канаде (10 процентов) (таблица 18).
В рамках группы стран с переходной экономикой можно выделить несколько подгрупп.
Первую подгруппу образуют страны Центральной и Восточной Европы, включая страны Балтии. Для этих стран характерен преимущественно радикальный подход к реформам, стремление войти в ЕС, сравнительно высокий уровень развития большинства из них. Однако сильное отставание от лидеров этой подгруппы, меньшая радикальность реформ приводит некоторых экономистов к выводу, что Албанию, Болгарию, Румынию и некоторые республики бывшей Югославии целесообразно не включать в первую подгруппу.
Наибольших успехов добились Польша, Чехия и Венгрия. В этих странах, после трех лет кризисного состояния (1991-1993 гг.), экономика начала стабилизироваться с 1994 г., а с 1995 г. начался экономический рост в среднем от 2 до 6% в год. С 1995 г. начался экономический рост в Румынии, Болгарии и Словакии, хотя и неравномерный, перемежавшийся спадами. К 2000 г. все страны ЦВЕ вышли на положительные значения прироста ВВП. Несомненно, большую роль сыграла и поддержка этих стран со стороны ЕС, на долю которого приходится 70% товарооборота указанных стран.
Страны ЦВЕ поставили целью достижение европейских стандартов и вступление в ЕС. При сравнении основных макроэкономических показателей (ВВП, инфляция и безработица) отмечается очевидная тенденция приближения некоторых стран к параметрам стран ЕС и зоны евро (таблицы 16-18). Для достижения необходимого уровня европейских стран государства с переходной экономикой должны обеспечить и поддерживать как минимум 5% прирост реального ВВП, и такими государствами являются лишь страны Балтии. Что же касается показателя инфляции, то к началу 2003 г. Эстония, Словения, Румыния и Венгрия превысили средний показатель по ЕС и зоне евро. В свою очередь, лишь Чехия, Латвия, а также Венгрия и Словения смогли удержать безработицу в рамках показателей ЕС, что имеет как позитивную сторону в самостоятельном экономическом развитии этих стран, так и негативную угрозу повышения этого индикатора при свободе передвижения рабочей силы в ЕС и беспрепятственной ориентации молодых специалистов на Запад. Что касается остальных стран, то можно утверждать, что они по-прежнему находятся на этапе переходной экономики, который, несмотря на возможную политическую декларацию его завершения, все еще требует дополнительных ресурсов и времени для роста экономики и уровня жизни населения.
Европейский стандарт экономического развития в полном объеме пока не был достигнут ни одной страной с переходной экономикой.
Поспешное принятие восточноевропейских стран в ЕС в 2005 г., объясняемое политическими причинами, а не высокой степенью интеграции, таит опасность преобладания негативных последствий над позитивными, связанные с усилением мобильности более качественных товаров европейских товаров на новые рынки, нерациональной миграцией рабочей силы, опасной капитализацией неокрепших финансовых рынков.
Вторую подгруппу стран с переходной экономикой составляют бывшие советские республики, которые ныне чисто формально объединены в Содружество Независимых Государств (СНГ). Экономического значения эта интеграционная группировка не имеет.
Данная подгруппа стран менее однородна как в своих целях, так и в путях их достижения, что можно объяснить специфичностью их социально-экономического развития, политическим устоем и общественными традициями. В таблицах 19-20 представлена динамика макроэкономического развития этих государств. К 1997 г. практически всем странам СНГ удалось обеспечить прирост ВВП, а некоторые колебания 1998 г, вызванные российским финансовым кризисом, были преодолены, и прирост продолжился, причем достаточно интенсивными темпами.
Страны СНГ преимущественно в силу своего геополитического положения изначально не ставили перед собой цель достичь европейских стандартов экономического развития. Азиатские и кавказские страны ориентировали свою экономику на укрепление торгово-экономических связей с южными соседями (Узбекистан, Азербайджан, Армения). Узбекистан, Туркменистан проводят менее радикальные по сравнению с другими странами подгруппы реформы, а Таджикистан по уровню социально-экономического развития и в советские времена сильно отставал от других союзных республик. Вместе с тем, Грузия и Украина заявили о своих стремлениях войти в будущем в ЕС и НАТО.
В России были выбраны наиболее банальные и неэффективные решения проблем переходной экономики. Они привели к колоссальному оттоку капитала за рубеж, неэффективной приватизации и денационализации, к существенному снижению жизненного уровня населения, росту безработицы. Аналогичную цель и механизм ее достижения выбрала для себя Украина. Несколько иной вариант переходной экономики был реализован в Беларуси, где почти в неизменном виде сохранилась советская модель хозяйствования. Большое значение для стабилизации ситуации в Беларуси имела и имеет экономическая помощь России в форме поставок газа, нефти, электроэнергии по ценам, значительно ниже мировых.
Наконец, третье, особое место в группе стран с переходной экономикой занимает Монголия, в которой рыночные реформы идут полным ходом, хотя и с учетом национальных особенностей.
При этом на ходе и результатах экономических реформ весьма существенно сказываются особенности исторического развития, экономического, политического и социального положения в каждой стране. Сложный переход от плановой к рыночной экономике проходил и проходит достаточно болезненно. Страны с переходной экономикой занимают в современной мировой экономике промежуточное положение. С одной стороны, по многим экономическим и социальным показателям (таким, как валовой продукт на душу населения, средняя продолжительность жизни, детская смертность, покупательная способность населения, «качество жизни» и т.д.) они занимают место в ряду развивающихся стран. С другой стороны, они имеют относительно развитые индустриальные (даже с элементами постиндустриальных) экономики, располагают достаточно солидным научно-техническим и человеческим потенциалом.
Природа переходной экономики — это трансформация к рынку, который несет в себе, с одной стороны, свободу действий и широкие возможности, а с другой — риск и ответственность за принятие решений. Государства ЦВЕ только лишь приблизились к решению задачи восстановления своей роли в ЕС, и то преимущественно с помощью политических инструментов. Страны бывшего СССР в основном оказались перед дилеммой сохранения старых принципов хозяйствования или полного отказа от них, фактически исключив возможность их сочетания, тогда как именно последнее является оптимальным выходом для переходной экономики. Социализация экономики стала моделью экономического развития таких стран, как, например, Швеция, Норвегия, Нидерланды и пр. Сочетание преимуществ социальной и капиталистической экономики в итоге позволит сформировать социализированное общество, основанное не только на частной собственности, свободе капитала, конкуренции, но и на высокой доле государственного сектора как равноправного участника рыночных отношений, с выполнением своих социальных функций. Построение такой модели должно осуществляться в странах с переходной экономикой после создания капиталистической платформы функционирования экономики.
Данные о росте ВВП в странах ЦВЕ приведены в таблице 16.

Колебания курса инфляции в странах ЦВЕ приведены в таблице 17.
Таблица 17.

Динамика уровня безработицы приведена в таблице 18.
Таблица 18.

Для сравнения приведены данные по странам СНГ. Рост или падение ВВП отражено в таблице 19.
Таблица 19.

Динамика уровня инфляции по странам СНГ отражена в таблице 20.
Таблица 20.

[1] Тэор Т.Э. Мировая экономика /Учебное пособие. – СПб., 2002. – С. 7.
[2] Авдокушин Е.Ф. Международные экономические отношения. – М., 1999
[3] Раджабова З.К. Мировая экономика / Учебник. – М., 2006. – С. 6.
[4] Авдокушин Е.Ф. Международные экономические отношения. – М., 1999
[5] См., например, З.К. Раджабова Указ. соч. – С. 9.
[6] Пикулев Ю.В., Сельцовский В.Л. Мировая экономика и торговля. Статистический справочник. - М., 1998. – С. 63-67.
[7] Проблемы глобальной безопасности. Материалы семинаров в рамках научно-исследовательской и информационной программы (ноябрь 1994 г. – февраль 1995 г.) – М.: ИНИОН, 1995. – С. 436.
[8] Правительство объявляет амнистию капиталов // Коммерсант. – СПб., 19 июля 2002. – С. 9.
[9] Авдокушин Е.Ф. Международные экономические отношения. – М., 1999. – С. 135-137.
[10] Теоретически, значение ВВП в ППС в долл. США для Соединенных Штатов Америки должно равняться значению в долл. США, но практические вопросы, возникающие при создании серий ВВП в ППС в долл. США мешают этому.
[12] См. Ломакин В.К. Мировая экономика. Учебник. – М., 1998. – С. 19.
[13] Следует оговориться, что здесь речь идет о классификации ЮНКТАД, а не Всемирного банка, критерии которого отличаются от приводимых здесь.
[14] Исключая следующие страны-члены ООН, по которым ИРЧП не может быть вычислен: Афганистан, Андорра, Ирак, Кирибати, КНДР, Либерия, Лихтенштейн, Маршалловы Острова, Федеративные Штаты Микронезии, Монако, Науру, Палау, Сан-Марино, Сербия и Черногория, Сомали и Тувалу.
[15] В США доля сферы услуг занимает около 74% ВВП.
[16] Алжир, Ангола, Бахрейн, Бруней, Венесуэла, Габон, Индонезия, Ирак, Иран, Катар, Конго, Кувейт, Ливия, Нигерия, ОАЭ, Оман, Саудовская Аравия, Тринидад и Тобаго.
[17] Если Великобритании в начале 80-х гг. XVII в. понадобилось для удвоения производства 60 лет, а Японии в 80-е гг. прошлого века потребовалось 34 года, то Южной Корее, поставившей аналогичную цель в 1966 г., хватило 11 лет.
[18] Так, по данным Мирового банка, 1 млрд. жителей планеты все еще пользуется водой без всякой очистки, 2 млрд. не знают электричества. Полмира пока лишено возможности пользоваться телефоном.