Интернет-курс по дисциплине
«Геометрия»
Часть 1

Кафедра Высшей математики и естественно-научных дисциплин
Власов Д. А.
Интернет-курс по дисциплине
«Геометрия»
Часть 1
Отрезки и окружности, связанные с треугольником.
Окружность, касающаяся всех трех сторон треугольника, называется его вписанной окружностью.
Окружность, проходящая через все три вершины треугольника, называется его описанной окружностью.
Медианой треугольника, проведенной из данной вершины, называется отрезок, соединяющий эту вершину с серединой противолежащей стороны.
Все три медианы треугольника пересекаются в одной точке. Эта точка пересечения называется центроидром или центром тяжести треугольника.
Центроид делит каждую медиану в отношении 1:2, считая от основания медианы.
Перпендикуляр, опущенный из вершины треугольника на противоположную сторону или ее продолжение, называется высотой треугольника.
Три высоты треугольника пересекаются в одной точке, называемой ортоцентром треугольника.
Биссектрисой треугольника, проведенной из данной вершины, называют отрезок, соединяющий эту вершину с точкой на противоположной стороне и делящий угол при данной вершине пополам.
Биссектрисы треугольника пересекаются в одной точке, и эта точка совпадает с центром вписанной окружности.
В равнобедренном треугольнике биссектриса, медиана и высота, проведенные к основанию, совпадают. Верно и обратное: если биссектриса, медиана и высота, проведенные из одной вершины, совпадают, то треугольник равнобедренный.
Если треугольник разносторонний, то для любой его вершины биссектриса, проведенная из нее, лежит между медианой и высотой, проведенными из той же вершины.
Серединные перпендикуляры к сторонам треугольника также пересекаются в одной точке, которая совпадает с центром описанной окружности.
Вне вписанной окружностью называется окружность, касающаяся одной стороны треугольника и продолжения двух других сторон.
Середины трех сторон треугольника, основания трех его высот и середины трех отрезков, соединяющих его вершины с ортоцентром, лежат на одной окружности, называемой окружностью девяти точек.
В любом треугольнике центр тяжести, ортоцентр, центр описанной окружности и центр окружности девяти точек лежат на одной прямой, называемой прямой Эйлера.
Медиана треугольника — это отрезок, соединяющий вершину треугольника с серединой противолежащей стороны этого треугольника.
Свойства медиан треугольника.
Медиана разбивает треугольник на два треугольника одинаковой площади.
Медианы треугольника пересекаются в одной точке, которая делит каждую из них в отношении 2:1, считая от вершины. Эта точка называется центром тяжести треугольника.
Весь треугольник разделяется своими медианами на шесть равновеликих треугольников.
Биссектриса угла — это луч, который исходит из его вершины, проходит между его сторонами и делит данный угол пополам.
Биссектрисой треугольника называется отрезок биссектрисы угла треугольника, соединяющий вершину с точкой на противолежащей стороне этого треугольника.
Свойства биссектрис треугольника.
Биссектриса угла – это геометрическое место точек, равноудаленных от сторон этого угла.
Биссектриса внутреннего угла треугольника делит противолежащую сторону на отрезки, пропорциональные прилегающим сторонам.
Точка пересечения биссектрис треугольника является центром окружности, вписанной в этот треугольник.
Высотой треугольника называется перпендикуляр, проведенный из вершины треугольника к прямой, содержащей противоположную сторону этого треугольника.
Свойства высот треугольника.
В прямоугольном треугольнике высота, проведенная из вершины прямого угла, разбивает его на два треугольника, подобные исходному.
В остроугольном треугольнике две его высоты отсекают от него подобные треугольники.
Если треугольник остроугольный, то все основания высот принадлежат сторонам треугольника, а у тупоугольного треугольника две высоты попадают на продолжение сторон.
Три высоты в остроугольном треугольнике пересекаются в одной точке и эту точку называют ортоцентром треугольника.
Прямую, проходящую через середину отрезка перпендикулярно к нему, называют серединным перпендикуляром к отрезку.
Свойства серединных перпендикуляров треугольника.
Каждая точка серединного перпендикуляра к отрезку равноудалена от концов этого отрезка. Верно и обратное утверждение: каждая точка, равноудаленная от концов отрезка, лежит на серединном перпендикуляре к нему.
Точка пересечения серединных перпендикуляров, проведенных к сторонам треугольника, является центром окружности, описанной около этого треугольника.
Средней линией треугольника называется отрезок, соединяющий середины двух его сторон.
Свойство средней линии треугольника.
Средняя линия треугольника параллельна одной из его сторон и равна половине этой стороны.
Четырехугольником называется фигура, которая состоит из четырех точек и четырех последовательно соединяющих их отрезков. При этом никакие три из данных точек не должны лежать на одной прямой, а соединяющие их отрезки не должны пересекаться.
Вершины четырехугольника называются соседними, если они являются концами одной из его сторон.
Вершины, не являющиеся соседними, называются противоположними.
Отрезки, соединяющие противолежащие вершины четырехугольника, называются диагоналями.
Стороны четырехугольника, исходящие из одной вершины, называются соседними сторонами.
Стороны, не имеющие общего конца, называются противолежащими сторонами.
Четырехугольник называется выпуклым, если он расположен в одной полуплоскости относительно прямой, содержащей любую его сторону.
Виды четырехугольников.
Параллелограмм — четырехугольник, у которого противоположные стороны попарно параллельны.
Прямоугольник — параллелограмм, у которого все углы прямые.
Ромб— параллелограмм, у которого все стороны равны.
Квадрат — прямоугольник, у которого все стороны равны.
Трапеция — четырехугольник, у которого две стороны параллельны, а две другие стороны не параллельны.
Дельтоид — четырехугольник, у которого две пары смежных сторон равны.
Прямоугольник, у которого все стороны равны, называется квадратом.
Свойства и признаки квадрата (необходимые и достаточные условия того, что четырехугольник - квадрат).
Если четырехугольник - квадрат, то для него справедливы все следующие утверждения.
Если для четырехугольника справедливо хотя бы одно из следующих утверждений, то он - квадрат.
Все стороны равны и среди внутренних углов есть прямой угол.
Диагонали равны, перпендикулярны и, пересекаясь, делятся пополам.
Четырехугольник имеет 4 оси симметрии: прямые, перпендикулярные сторонам и проходящие через их середины; прямые, содержащие диагонали.
Параллелограмм - это четырехугольник, у которого противоположные стороны параллельны, т.е. лежат на параллельных прямых.
Выпуклый многоугольник называется правильным, если у него все стороны равны и все углы равны.
Центром правильного многоугольника называется точка, равноудаленная от всех его вершин и всех его сторон.
Центральным углом правильного многоугольника называется угол, под которым видна сторона из его центра.
Объединение замкнутой ломаной и ее внутренней области называют многоугольником.
Саму ломаную называют границей многоугольника, а ее внутреннюю область - внутренней областью многоугольника.
Звенья границы многоугольника называются сторонами многоугольника, а вершины - вершинами многоугольника.
Отрезок, соединяющий две не соседние вершины многоугольника, называют его диагональю.
Многоугольник называют выпуклым, если он лежит по одну сторону от каждой прямой, содержащей его сторону.
Ромбом называется параллелограмм, у которого все стороны равны.
Свойства ромба.
· все свойства параллелограмма;
· противолежащие стороны равны;
· противоположные углы равны;
· диагонали точкой пересечения делятся пополам;
· сумма углов, прилежащих к одной стороне, равна 180°;
· сумма квадратов диагоналей равна сумме квадратов всех сторон;
· диагонали перпендикулярны;
· диагонали являются биссектрисами его углов.
Признаки ромба.
Если диагонали параллелограмма перпендикулярны, то параллелограмм - ромб.
Если диагональ параллелограмма является биссектрисой его угла, то параллелограмм - ромб.
Трапеция — четырехугольник, у которого ровно одна пара противолежащих сторон параллельна.
Параллельные стороны называются основаниями трапеции.
Две другие стороны называются боковыми сторонами.
Отрезок, соединяющий середины боковых сторон, называется средней линией трапеции.
Расстояние между основаниями называется высотой трапеции.
Трапеция, у которой боковые стороны равны, называется равнобокой (или равнобедренной).
Трапеция, один из углов которой прямой, называется прямоугольной.
Средняя линия трапеции параллельна основаниям и равна их полусумме.
Параллельные прямые, пересекающие стороны угла, отсекают от сторон угла пропорциональные отрезки.
У равнобокой трапеции углы при основании равны.
У равнобокой трапеции диагонали равны.
Если трапеция равнобокая, то около нее можно описать окружность.
Если сумма оснований трапеции равна сумме боковых сторон, то в нее можно вписать окружность.
В трапеции середины оснований, точка пересечения диагоналей и продолжения боковых сторон находятся на одной прямой.
Геометрия – планиметрия: теоремы и общие сведения.
Два угла называются смежными, если у них одна сторона общая, а две другие стороны этих углов являются дополнительными полупрямыми.
Сумма смежных углов равна 180°.
Два угла называются вертикальными, если стороны одного угла являются дополнительными полупрямыми сторон другого.
Вертикальные углы равны.
Угол, равный 90°, называется прямым углом. Прямые, пересекающиеся под прямым углом, называются перпендикулярными.
Через каждую точку прямой можно провести и притом только одну, перпендикулярную прямую.
Угол, меньший 90°, называется острым. Угол больший 90°, называется тупым.
Признаки равенства треугольников.
· по двум сторонам и углу между ними;
· по стороне и двум прилегающим к ней углам;
· по трем сторонам.
Треугольник называют равнобедренным, если у него две стороны равны.
Медианой треугольника называют отрезок, соединяющий вершину треугольника с серединой противоположной стороны.
Биссектрисой треугольника называют отрезок прямой, заключенной между вершиной и точкой ее пересечения с противоположной стороной, которая делит угол пополам.
Высота треугольника – это отрезок перпендикуляра, опущенного из вершины треугольника на противоположную сторону, или на ее продолжение.
Треугольник называется прямоугольным, если у него есть прямой угол. В прямоугольном треугольнике сторона, противоположная прямому углу, называется гипотенузой. Остальные две стороны, называются катетами.
Свойства сторон и углов прямоугольного треугольника:
· углы, противолежащие катетам – острые;
· гипотенуза больше любого из катетов;
· сумма катетов больше гипотенузы.
Признаки равенства прямоугольных треугольников:
· по катету и острому углу;
· по двум катетам;
· по гипотенузе и катету;
· по гипотенузе и острому углу.
Свойства равнобедренного треугольника:
· в равнобедренном треугольнике углы при основании равны;
· если в треугольнике два угла равны, то он равнобедренный;
· в равнобедренном треугольнике медиана, проведенная к основанию, является биссектрисой и высотой;
· если в треугольнике медиана и биссектриса (или высота и биссектриса, или медиана и высота), проведенная из какой-либо вершины, совпадают, то такой треугольник равнобедренный.
В треугольнике против большей стороны лежит больший угол, против большего угла лежит большая сторона.
(Неравенство треугольника). У каждого треугольника сумма двух сторон больше третьей стороны.
Внешним углом треугольника ABC при вершине A называется угол, смежный углу треугольника при вершине A.
Сумма внутренних углов треугольника:
· сумма любых двух углов треугольника меньше 180°;
· в каждом треугольнике два угла острые;
· внешний угол треугольника больше любого внутреннего угла, не смежного с ним;
· сумма углов треугольника равна 180°;
· внешний угол треугольника равен сумме двух других углов, не смежных с ним;
· сумма острых углов прямоугольного треугольника равна 90°.
Отрезок, соединяющий середины боковых сторон треугольника называется средней линией треугольника.
Средняя линия треугольника обладает свойством – она параллельна основанию треугольника и равна ее половине.
Длина ломаной не меньше длины отрезка, соединяющей ее концы.
Свойства серединного перпендикуляра отрезка:
· точка лежащая на серединном перпендикуляре одинаково удалена от концов отрезка;
· любая точка, одинаково удаленная от концов отрезка, лежит на серединном перпендикуляре.
Свойства биссектрисы угла:
· любая точка, лежащая на биссектрисе угла, одинаково удалена от сторон угла;
· любая точка, одинаково удаленная от сторон угла, лежит на биссектрисе угла.
Существование окружности, описанной около треугольника:
· все три серединные перпендикуляры треугольника пересекаются в одной точке и эта точка является центром описанной окружности. Описанная около треугольника окружность всегда существует и она единственна;
· центром описанной окружности прямоугольного треугольника является середина гипотенузы.
Существование вписанной в треугольник окружности:
· все три биссектрисы треугольника пересекаются в одной точке и эта точка является центром вписанной окружности;
· вписанная в треугольник окружность всегда существует и она единственна.
Теоремы (признаки) о параллельности и перпендикулярности прямых:
· две прямые, параллельные третьей – параллельны;
· если при пересечении двух прямых третьей, внутренние (внешние) накрест лежащие углы равны, или внутренние (внешние) односторонние углы в сумме равны 180°, то эти прямые параллельны;
· если параллельные прямые пересечены третьей прямой, то внутренние и внешние накрест лежащие углы равны, и внутренние и внешние односторонние углы в сумме равны 180°;
· две прямые, перпендикулярные одной и той же прямой – параллельны;
· прямая, перпендикулярная одной из двух параллельных прямых, перпендикулярна и второй.
Окружность – множество всех точек плоскости, равноудаленных от одной точки.
Хорда – отрезок, соединяющий две точки окружности.
Диаметр – хорда, проходящая через центр.
Касательная – прямая, имеющая с окружностью одну общую точку.
Центральный угол – угол с вершиной в центре окружности.
Вписанный угол – угол с вершиной на окружности, стороны которого пересекают окружность.
Теоремы, относящиеся к понятию «окружность»:
· радиус, проведенный в точку касания, перпендикулярен касательной;
· диаметр, проходящий через середину хорды, перпендикулярен ей;
· квадрат длины касательной равен произведению длины секущей на ее внешнюю часть;
· центральный угол измеряется градусной мерой дуги, на которую он опирается;
· вписанный угол измеряется половиной дуги, на которую он опирается, или дополняет его половину до 180°;
· касательные, проведенные к окружности из одной точки, равны;
· произведение секущей на ее внешнюю часть – величина постоянная.
Параллелограммом называется четырехугольник, у которого противоположные стороны попарно параллельны.
Признаки (свойства) параллелограмма:
· противоположные стороны равны;
· противоположные углы равны;
· диагонали параллелограмма делятся точкой пересечения пополам;
· сумма квадратов диагоналей равна сумме квадратов всех его сторон;
· если в выпуклом четырехугольнике противоположные стороны равны, то такой четырехугольник – параллелограмм;
· если в выпуклом четырехугольнике противоположные углы равны, то такой четырехугольник – параллелограмм;
· если в выпуклом четырехугольнике диагонали делятся точкой пересечения пополам, то такой четырехугольник – параллелограмм;
· середины сторон любого четырехугольника являются вершинами параллелограмма.
Параллелограмм, все стороны которого равны, называется ромбом.
Дополнительные свойства и признаки ромба:
· диагонали ромба взаимно перпендикулярны;
· диагонали ромба являются биссектрисами его внутренних углов;
· если диагонали параллелограмма взаимно перпендикулярны, или являются биссектрисами соответствующих углов, то этот параллелограмм – ромб.
Параллелограмм, все углы которого прямые, называется прямоугольником.
Дополнительные свойства и признаки прямоугольника:
· диагонали прямоугольника равны;
· если диагонали параллелограмма равны, то такой параллелограмм – прямоугольник;
· середины сторон прямоугольника – вершины ромба;
· середины сторон ромба – вершины прямоугольника.
Прямоугольник, у которого все стороны равны, называется квадратом.
Дополнительные свойства и признаки квадрата:
· диагонали квадрата равны и перпендикулярны;
· если диагонали четырехугольника равны и перпендикулярны, то такой четырехугольник – квадрат.
Четырехугольник, две стороны которого параллельны, называется трапецией.
Отрезок, соединяющий середины боковых сторон трапеции называется средней линией трапеции.
Свойства трапеции:
· в равнобокой трапеции углы при основании равны;
· отрезок, соединяющий середины диагоналей трапеции, равен полуразности оснований трапеции.
Средняя линия трапеции обладает свойством – она параллельна основаниям трапеции и равна их полусумме.
Признаки подобия треугольников:
· по двум углам;
· по двум пропорциональным сторонам и углу между ними;
· по трем пропорциональным сторонам.
Признаки подобия прямоугольных треугольников:
· по острому углу;
· по пропорциональным катетам;
· по пропорциональным катету и гипотенузе.
Соотношения в многоугольниках:
· все правильные многоугольники подобны друг другу;
· сумма углов любого выпуклого многоугольника равна 180°(n-2);
· сумма внешних углов любого выпуклого многоугольника, взятых по одному у каждой вершины, равна 360°;
· периметры подобных многоугольников относятся, как их сходственные стороны, и это отношение равно коэффициенту подобия;
· площади подобных многоугольников относятся, как квадраты их сходственных сторон, и это отношение равно квадрату коэффициента подобия.
Важнейшие теоремы планиметрии.
Теорема Фалеса. Если параллельные прямые, пересекающие стороны угла, отсекают на одной стороне равные отрезки, то эти прямые отсекают на другой стороне также равные отрезки.
Теорема Пифагора. В прямоугольном треугольнике, квадрат гипотенузы равен сумме квадратов катетов:
![]()
Теорема косинусов. В любом треугольнике, квадрат стороны равен сумме квадратов двух других сторон без их удвоенного произведения на косинус угла между ними:
![]()
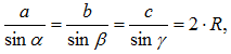
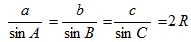
Теорема синусов. Стороны треугольника пропорциональны синусам противоположных углов:

где
R - радиус окружности, описанной около этого треугольника.
Три медианы треугольника пересекаются в одной точке, которая делит каждую медиану в отношении 2:1, считая от вершины треугольника.
Три прямые, содержащие высоты треугольника, пересекаются в одной точке.
Площадь параллелограмма равна произведению одной из его сторон на высоту, опущенную на эту сторону (или произведению сторон на синус угла между ними).
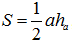
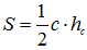
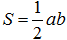
Площадь треугольника равна половине произведения стороны на высоту, опущенную на эту сторону (или половине произведения сторон на синус угла между ними).
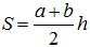
Площадь трапеции равна произведению полусуммы оснований на высоту.
Площадь ромба равна половине произведения диагоналей.
Площадь любого четырехугольника равна половине произведения его диагоналей на синус угла между ними.
Биссектриса делит сторону треугольника на отрезки, пропорциональные двум другим его сторонам.
В прямоугольном треугольнике, медиана, проведенная к гипотенузе, делит треугольник на два равновеликих треугольника.
Площадь равнобедренной трапеции, диагонали которой взаимно перпендикулярны, равна квадрату ее высоты: S=h2.
Сумма противоположных углов четырехугольника, вписанного в окружность, равна 180°.
Четырехугольник можно описать вокруг окружности, если суммы длин противоположных сторон равны.
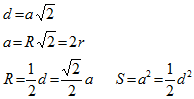
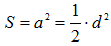
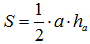
Основные формулы планиметрии.
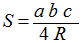
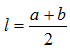
Произвольный треугольник.
a, b, c - стороны;
α, β, γ - противолежащие им углы;
p - полупериметр;
R - радиус описанной окружности;
r - радиус вписанной окружности;
S - площадь;
ha - высота, проведенная к стороне a.
![]()
![]()
![]()
![]()
![]()
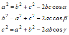
Решение косоугольных треугольников.
Теорема косинусов:
![]()
Теорема синусов:
![]()
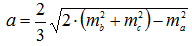
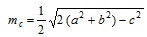
Длина медианы треугольника выражается формулой:
![]()
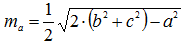
Длина стороны треугольника через медианы выражается формулой:
![]()
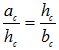
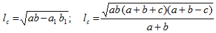
Длина биссектрисы треугольника выражается формулой:
![]()
Прямоугольный треугольник.
a, b - катеты;
c - гипотенуза;
ac , bc - проекции катетов на гипотенузу.
![]()
![]()
![]()
![]()
Теорема Пифагора:
![]()

![]()
![]()
Решение прямоугольных треугольников:
![]()
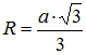
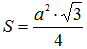
Равносторонний треугольник:
![]()


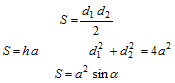
Произвольный выпуклый четырехугольник:
d1 , d2 - диагонали;
φ - угол между ними;
S - площадь.
![]()
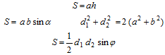
Параллелограмм:
- смежные
стороны;
- угол между ними;
- высота, проведенная к стороне
;
-
площадь.
![]()
Ромб:
![]()
Прямоугольник:
![]()
Квадрат:
![]()
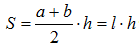
Трапеция:
a, b- основания;
h - высота или расстояние между ними;
l - средняя линия трапеции.
![]()
![]()
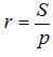
Описанный многоугольник:
p - полупериметр;
r - радиус вписанной окружности.
![]()
Правильный многоугольник:
an - сторона
правильного
-угольника;
R - радиус описанной окружности;
r - радиус вписанной окружности.
![]()
![]()
![]()
![]()
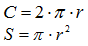
Окружность, круг:
r - радиус;
C - длина окружности;
S - площадь круга.
![]()
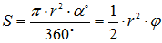
Сектор:
l - длина дуги, ограничивающей сектор;
α° - градусная мера центрального угла;
φ - радианная мера центрального угла.
![]()
![]()
Основные формулы планиметрии.
Квадрат:


Трапеция:

![]()
![]()
где
O – угол между диагоналями;
l – средняя линия трапеции.
Теорема синусов:

![]()
Теорема косинусов:

Площадь круга:
![]()
где
R – радиус круга.
Длина окружности:
![]()
где
R – радиус окружности.
Соотношения между сторонами и углами в прямоугольном треугольнике.

![]()
Параллелограмм:


Ромб:


Площадь треугольника:
![]()
![]()
,
где
p=
.
![]()
,
где
r – радиус вписанной окружности;
R – радиус описанной окружности.
Прямоугольный треугольник:


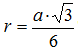
Свойства биссектрисы внутреннего угла.


Длина биссектрисы:
![]()
Длина медианы:
![]()
Длина высоты:
![]()
Пример 1.
В
треугольнике ABC угол C равен
, AB=10,
BC=8. Найдите
.
Решение:

Для
нахождения
необходимо
воспользоваться определением косинуса острого угла прямоугольного треугольника.
В рассматриваемом треугольнике
,
где
АС – прилежащий катет,
АВ – гипотенуза.
Вычислим
катет АС. Для этого применим теорему Пифагора: AC2+CB2=AB2, тогда AC2=AB2-CB2, тогда ![]()
Окончательно
получаем ![]()
Ответ: 0.6
Пример 2.
В параллелограмме ABCD sin A=0,8. Найдите cos B.
Решение:

Так как ABCD – параллелограмм, то сумма углов А и В равна
.
Следовательно,
. Так как
. Получаем, что ![]()
Воспользуемся
далее основным тригонометрическим тождеством:
,
, тогда
(если угол В -
острый) и
(если
угол В - тупой). Для рассматриваемой задачи нужно выбрать второй случай.
Ответ: -0.6
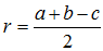
Пример 3.
Меньшее основание равнобедренной трапеции равно 6. Высота трапеции равна 10. Тангенс острого угла равен 2. Найдите большее основание.
Решение:

По условию задачи BC=6, ВH=10, tg A=2.
Выполним дополнительно построение: проведем вторую высоту CM.
Рассмотрим основание трапеции AD. Его длина складывается из длин отрезков: AD=AH+HM+MD. Обратим внимание, что так как трапеция равнобедренная, то AH= MD, кроме этого ВС=HM.
Переходим к
использованию данных задачи: AD=2x+6, где x – длина
отрезка AH. Так как tg A=2, то
(тангенсом острого угла прямоугольного
треугольника называется отношение противолежащего катета к прилежащему катету).
Следовательно, x=10/2=5.
Окончательно получаем AD=2x+6=16.
Ответ: 16
Пример 4.
На клетчатой бумаге с клетками размером 1см×1см изображена трапеция (см. рисунок). Найдите ее площадь в квадратных сантиметрах.

Решение:
Обратимся к рисунку. Следует заметить, что площадь выделенной фигуры можно представить в виде сумме площадей квадрата (располагается слева) и прямоугольного треугольника (располагается справа).
Площадь
квадрата
, где а – длина
стороны квадрата. Площадь прямоугольного треугольника
, где а и b
– катеты прямоугольного треугольника.
Переходим к
вычислительной части решения задачи.
.
Исходя из рисунка а=5 см., в=4 см. Следовательно,
.
Ответ: 35
Пример 5.
На клетчатой бумаге с клетками размером 1см×1см изображен треугольник (см. рисунок). Найдите его площадь в квадратных сантиметрах.

Решение:
Воспользуемся формулой площади треугольника через сторону и высоту, проведенную к стороне:
,
где
а – сторона,
ha - высота, проведенная к стороне а.
Данная задача
имеет следующую особенность: высота, проведенная из правой вершины треугольника
располагается вне самого треугольника. Однако и в данном случае будет справлива
формула
.
Обратимся к рисунку: высота треугольника равна 5 см. (располагается в данном случае вертикально и равна пяти клеткам), сторона (основание, располагается горизонтально) равна 6 см.
Вычислим
далее площадь треугольника:
.
Ответ: 15
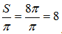
Пример 6.
На клетчатой бумаге с клетками размером 1см×1см
изображена фигура (см. рисунок). Найдите ее площадь в квадратных сантиметрах. В
ответе запишите
.

Решение:
Применим
формулу для нахождения площади круга:
, где
- константа, R–
радиус соответствующей окружности. Переходим к анализу иллюстрации. R=4 см., следовательно
. Обратим внимание, что по условию
задачи требуется найти
. Далее
вычислим
.
Ответ: 8
Пример 7.
На клетчатой бумаге с клетками размером 1см×1см изображен треугольник (см. рисунок). Найдите его площадь в квадратных сантиметрах.

Решение:
Воспользуемся формулой площади треугольника через сторону и высоту, проведенную к стороне:
,
где
а – сторона,
ha - высота, проведенная к стороне а.
Анализируя рисунок, заметим, что высота треугольника равна 4 см. (располагается в данном случае вертикально и равна четырем клеткам), сторона (основание, располагается горизонтально) равна 9 см.
Переходим к
вычислению площади:
.
Ответ: 18
Пример 8.
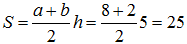
Найдите площадь трапеции, вершины которой имеют координаты (2;3), (10;3), (5;8), (3;8).

Решение:
Воспользуемся
формулой нахождения площади трапеции:
,
где a, b - длины оснований трапеции, h
– высота трапеции. Обратимся к иллюстрации. Вычислим а=10-2=8,
аналогично b=5-3=2. Мы воспользовались
приемом нахождения длинны отрезка в системе координат. Вычислим высотку
трапеции: h=8-3=5.
Таким
образом,
.
Ответ: 25
Пример 9.
Площадь треугольника ABC равна 30 см2. На стороне AC взята точка D так, что AD:DC=2:3. Длина перпендикуляра DE, проведенного на сторону BC, равна 9 см. Найти BC.
Решение:
Проведем BD (см. рис.); треугольники ABD и BDC имеют общую высоту BF; следовательно, их площади относятся как длины оснований, т.е.:

![]()
Откуда
![]()
С другой стороны,
, откуда BC=4 см.
Ответ: BC=4 см
Пример 10.
В равнобедренном треугольнике высоты, проведенные к основанию и к боковой стороне, равны 10 и 12 см, соответственно. Найти длину основания.
Решение:
В
ABC
имеем AB=BC, BD^AC, AE^DC, BD=10 см и AE=12
см (см. рис.). Пусть AC=x, AB=BC=y
Прямоугольные треугольники AEC и BDC подобны (угол C общий); следовательно, BC:AC=BD:AE или y:x=10:12=5:6.

Применяя
теорему Пифагора к
BDC, имеем
, т.е.
.
В итоге, мы получили систему уравнений:

Решая эту
систему, получим
. Итак AC=15
см.
Ответ: AC=15 см
Пример 11.

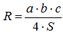
В треугольнике ABC, AВ=5 см, ÐC равен 30°. Найти радиус описанного круга.
Решение:
По теореме синусов имеем
.
Значит
, т.е.
.
Последовательно
находим
, т.е.
см.
Ответ:
см
Пример 12.

Две окружности касаются внешним образом. К первой из них проведена касательная, проходящая через центр второй окружности. Расстояние от точки касания до центра второй окружности равна утроенному радиусу этой окружности. Во сколько раз длина первой окружности больше длины второй окружности?
Решение:
Пусть О1
и О2 – центры окружностей, А – точка касания (рис.).
Тогда О1А=R1,
О1О2 = R1+R2, О2А=3×R2
(по условию). Требуется найти отношение
.
В
прямоугольном треугольнике О1АО2 (ÐА – прямой) имеем
, или
.
Упростив это равенство, получим
, откуда
.
Ответ: ![]()
Пример 13.

Можно ли в четырехугольник ABCD со сторонами AВ=7 см, ВC=9 см, СD=8 cм, AD=6 см вписать окружность?
Решение:
Так как суммы противоположных сторон равны:
AВ+СD=7+8=15 cм,
BС+AD=9+6=15 cм, то в него можно вписать окружность.
Ответ: вписать окружность можно
Пример 14.
Можно ли вокруг четырехугольник ABCD с углами ÐA=30°, ÐB=170°, ÐC=75°, ÐD=85° описать окружность?
Решение:
Так как суммы противоположных углов не равны:
ÐA+ÐC=105°, ÐB+ÐD=255°, 105°¹255°,
то вокруг такого четырехугольника нельзя описать окружность.
Ответ: описать окружность нельзя
Пример 15.
Около равнобедренного треугольника с основанием AC и углом при основании 75˚ описана окружность с центром O. Найдите ее радиус, если площадь треугольника BOC равна 16.

Решение:
Дано: ∆ ABC – равнобедренный, AC – основание, ÐACB = 75˚, площадь ∆ BOC равна 16.
Найти: радиус описанной окружности.
1. Проведем медианы AF, CE, BH.
2. ∆ ABC – равнобедренный, BH – медиана, следовательно, BH – высота, а значит ∆ HBC – прямоугольный.
3. ÐHBC = 90˚ - ÐACB, ÐHBC = 90˚ - 75˚ = 15˚.
4. BO = OC = R, следовательно, ∆ BOC – равнобедренный, значит ÐHBC = ÐECB = 15˚.
5. ÐCOB = 180˚ - (ÐHBC + ÐECB), ÐCOB = 180˚ - (15˚ + 15˚) = 150˚.
6. S =
∙ BO ∙ OC ∙ sin ÐBOC (теорема о
площади треугольника), SBOC =
∙ R ∙ R ∙ sin 150˚ =
∙ R ∙ R ∙
=
∙ R2;
∙ R2 = 16; R2 = 16 :
= 64; R =
= 8.
Ответ: R = 8
Пример 16.
Треугольник BMP с углом B, равным 45˚, вписан в окружность радиуса 6. Найдите длину медианы BK, если BK пересекает окружность в точке C и CK = 3.

Решение:
1. ﮮ MOP = 2 ﮮMBP
ﮮ MOP = 2 ∙ 45˚ = 90˚, следовательно, ∆ MOP – прямоугольный
2. MP2 = OM2 + OP2
MP2 = 62 + 62 = 36 + 36 = 36 ∙ 2
MP = ![]()
3. MK = KP = 0,5 ∙ MP
MK = KP = 0,5 ∙![]()
4. MK ∙ KP = BK ∙ KC
= BK ∙ 3
BK ∙ 3 = 9 ∙ 2
BK ∙ 3 = 18
BK = 6
Ответ: BK = 6
Пример 17.
Остроугольный равнобедренный треугольник BCD с основанием CD, равным 16, вписан в окружность с центром O и радиусом 10. Найдите площадь треугольника BOC.

Решение:
1. ∆ BCD – равнобедренный, CD = 16, следовательно, DH = HC = 8
2. ∆ DOH – прямоугольный
По теореме Пифагора:
OH2 = 102 – 82
OH2 = 100 – 64 = 36
OH = 6
3. BH = BO + OH = 10 + 6 =16
4. По теореме Пифагора:
BC2 = 162 + 82 = 256 + 64 = 320
BC = ![]()
5. ∆ KBO ~ ∆ HBC

6. SBHC = ![]()
7. ![]()
SBOK = 20
8. SBOC = 2 ∙ SBOK = 2 ∙ 20 = 40
Ответ: SBOC = 40
Пример 18.
Радиус окружности, вписанной в прямоугольный треугольник, равен 2 м, а радиус описанной окружности равен 5 м. Найдите больший катет треугольника.

Решение:
1. AC = 2r = 10 м
2. Пусть AM = AK = x, MC = CL = y
По теореме Пифагора:
x + y = 10
(x + 2)2 + (y + 2)2 = (x + y)2
y = 10 – x
(x + 2)2 + (10 – x + 2)2 = (x + 10 – x)2
(x + 2)2 + (12 – x)2 = 100
x2 + 4x + 4 +144 – 24x + x2 = 100
2x2 – 20x + 148 = 100
2x2 – 20x + 48 = 0
x2 – 10x + 24 = 0
x1 = 6, x2 = 4
y = 10 – x
x = 6 x = 4
y = 4 y = 6
3. Так как нужно найти больший катет, то берем y = 6.
BC = 2 + 6 = 8 м
Ответ: BС = 8 м
Пример 19.
Окружность, вписанная в равнобедренный треугольник, касается его боковых сторон в точках K и A. Точка K делит сторону этого треугольника на отрезки 15 и 10, считая от основания. Найдите длину отрезка KA.

Дано: ∆ BCD – равнобедренный, K є BC, A є DC, BK = 15, KC = 10
Найти: KA.
1. CD = CB = BK + KC, CD = CB = 15 + 10 = 25
2. CK = CA = 10 (отрезки касательных, проведенные из одной точки), CB = CD, следовательно AD = CD – CA, AD = 25 – 10 = 15
3. BE = BK = 15, DE = DA = 15 (отрезки касательных, проведенные из одной точки), следовательно BD = 15 + 15 = 30
4. ∆ CKA ~ ∆ CBD (ﮮC – общий, CK : CB = CA : CD), следовательно KA : BD=CA : CD, KA : 30 = 10 : 25, KA = 10 ∙ 30 : 25 = 12
Ответ: KA = 12
Задача 20.
В равнобедренной трапеции основания 21 и 9 сантиметров, высота – 8 сантиметров. Найти радиус описанной окружности.

Решение:
1. Проведем серединные перпендикуляры к основаниям Н и К, тогда центр окружности О лежит на прямой НК.
2. АО=ОВ=R. Точка О делит отрезок НК на две части: пусть НО = х, тогда ОК = 8 – х.
3. АО2 = АК2 + КО2; ОВ2 = ВН2 + НО2;
так как ОА2=ОВ2, получим:
АК2 + КО2 = ВН2 + НО2

Ответ: OB = 10,625
Задача 21.
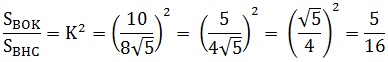
В ромб вписана окружность радиуса R. Найти площадь ромба, если его большая диагональ в 4 раза больше радиуса вписанной окружности.
Решение:
Дано: ромб, радиус вписанной
окружности – R, BD
r в 4 раза
Найти: ![]()


Ответ: ![]()
Задача 22. Найдите площадь равнобедренной трапеции, описанной около окружности с радиусом 4, если известно, что боковая сторона трапеции равна 10.
Решение:
Дано: ABCD – равнобедренная трапеция, r = 4, AB = 10
Найти: SABCD

1. AB = CD = 10 по условию
2. AB + CD = AD + BC по свойству вписанной окружности
3. AD + BC = 10 + 10 = 20
4. FE = 2r = 2 · 4 = 8
5. ![]()
Ответ:
![]()
Задача 23.
Внутри правильного треугольника со стороной a расположены три равные окружности, каждая из которых касается двух сторон треугольника и двух других окружностей. Найти площадь части треугольника, расположенной вне этих окружностей.

Решение:
1. Пусть AB = BC = AC = a.
2.
Обозначим O1E = O1K = ED = r, тогда AD = AE +
ED = AE+ r=
.
3.
AO1 – биссектриса угла
A,
следовательно, ﮮ O1AE = 30˚ и в прямоугольном ∆AO1E имеем AO1 = 2O1E = 2r и AE =
=
. Тогда
, откуда
.
4.
![]()
Ответ: ![]()
Задача 24.
Вся дуга окружности радиуса R разделена на 4 большие и 4 малые части, которые чередуются одна за другой. Большая часть в два раза длиннее малой. Определить площадь восьмиугольника, вершинами которого являются точки деления дуги окружности.

Решение:
1. Пусть ﮮAOB = 2x, ﮮBOC = x, тогда по условию 8x + 4x = 360°, x = 30°, 2x = 60°, ﮮAOB = 60°, ﮮBOC = 30°
2.
![]()
3.
![]()
4.
![]()
Ответ:
![]()
Задача 25.
Стороны треугольника равны 12 м, 16 м и 20 м. Найдите его высоту, проведенную из вершины большего угла.

Решение:
1. 202 = 122 + 162
400 = 144 + 256
400 = 400 верно, следовательно, ∆ АВС – прямоугольный (по теореме, обратной теореме Пифагора)
2. ![]()
3. ![]()

Ответ: ВН = 9,6
Задача 26.
В прямоугольный треугольник вписан квадрат, имеющий с ним общий угол. Найдите площадь квадрата, если катеты треугольника равны 10 м и 15 м.
Дано: ∆ ABC – прямоугольный, AC = 15, CB = 10
Найти: SCDEF

Решение:
1. ∆ ADE ~ ∆ ACB (ﮮ A – общий, ﮮ ADE = ﮮ ACB = 90°)
2. Пусть DE = DC = X, тогда AD = 15 – X
3. ![]()
![]()
15 · X = 10(15 – X)
15 · X = 150 – 10 · X
25 · X = 150
X = 6
DE = DC = 6
4. Sкв. = 6 · 6 = 36
Ответ: Sкв. = 36
Задача 27.
Основания трапеции равны 10 м и 31 м, а боковые стороны – 20 м и 13 м. Найдите высоту трапеции.

Решение:
1. HK = BC = 10 м
2. Пусть BH = CK = x, AH=y, тогда KD = 21 – y
3. По теореме Пифагора:
x2 + y2 = 132
x2 + (21 – y)2 = 202
x2 + y2 = 169
x2 + 441 – 42y + y2 = 400
441 – 42y = 231
42y = 210
y = 5
AH = 5 м
4. По теореме Пифагора:
BH2 = AB2 – AH2
BH2 = 132 – 52
BH2 = 169 – 25
BH2 = 144
BH = 12
Ответ: BH = 12