Интернет-курс по дисциплине
«Векторная графика»

Алехина Г.В., Борзунова Т.Л., Кабалов Г.В., Козлов М.В., Маслов А.А., Пронкин П.Г., Спивакова Н.Я.
Интернет-курс по дисциплине
«Векторная графика»
Оглавление
Глава 1. Основные понятия компьютерной графики
Глава 2. Графический редактор CorelDraw X4
Контрольные вопросы по материалу Главы 2
Глава 1. Основные понятия компьютерной графики
Прочитав этот материал, Вы будете:
знать:
уметь:
обладать навыками:
При изучении материала, обратите внимание на следующие основные термины и понятия, которые необходимо запомнить:
1.1 Понятие, классификация и области применения компьютерной графики
Специальную область информатики, занимающуюся методами и средствами создания, преобразования, обработки, хранения и вывода на печать изображений с помощью цифровых вычислительных комплексов, называют компьютерной графикой.
Развитие компьютерной графики как самостоятельной области информатики началось в девяностых годах прошлого столетия. Этому способствовало, с одной стороны, резкое повышение технических характеристик (емкость запоминающих устройств, быстродействие и разрядность процессора, возможность работы с массивами чисел, представленных в форме с плавающей запятой) и понижение стоимости аппаратного обеспечения, с другой стороны, появление адаптированного к работе с графикой как базового, так и прикладного программного обеспечения.
За последнее десятилетие диапазон применения компьютерной графики существенно расширился. К примеру, ранее ее могли использовать только специалисты, работающие в некоторых предметных областях:
В наше время CGI-образы (от слов Computer Graphics Imagery – изображение созданное на компьютере) окружают нас повсеместно: на телевидении, в кино, на рекламных щитах, на страницах газет и журналов. Компьютерная графика превратилась из узкоспециальной области интересов нескольких профессий в дело, которому стремятся посвятить себя множество людей.
Компьютерная графика охватывает все виды и формы представления изображений, доступных для восприятия человеком:
В компьютерной графике объекты существуют лишь в памяти компьютера, они не имеют физической формы и представляют собой совокупность цифр, поэтому такие изображения называют цифровыми.
Создано разнообразное аппаратное и программное обеспечение для получения изображений самого различного вида и назначения - от простых чертежей до реалистических образов естественных объектов.
Конечным результатом применения средств компьютерной графики является изображение, которое может использоваться для различных целей.
Компьютерная графика используется для наглядности восприятия и передачи самой разнообразной информации.
Практически не существует демонстрационных слайдов без использования компьютерной графики.
Проблема представления накопленной информации (например, данных о климатических изменениях за продолжительный период, о динамике популяций животного мира, об экологическом состоянии различных регионов и т.п.) лучше всего может быть решена посредством графического отображения.
Трехмерные изображения применяются в медицине (например, в области компьютерной томографии), картографии, полиграфии и других областях. В медицине в настоящее время широко используются методы диагностики, использующие компьютерную визуализацию внутренних органов человека. Помимо этого применяется и двумерная графика, которую можно отобразить на экране компьютера или графопостроителе.
Существуют развитые программные средства автоматизации проектно-конструкторских работ (САПР), позволяющие быстро создавать чертежи объектов, выполнять прочностные расчеты и т.п. Они дают возможность не только изобразить проекции изделия, но и рассмотреть его в объемном виде с различных сторон. Такие средства полезны для дизайнеров интерьера, ландшафта.
Интерактивные графические элементы применяются при создании моделирующих систем обучения (виртуальных тренажеров). Под моделированием в данном случае понимается имитация различного рода ситуаций, возникающих, например, при движении автомобиля, решении задач управления бизнесом и т.д.
Телевидение и другие отрасли индустрии развлечений используют анимационные средства компьютерной графики (компьютерные игры, фильмы).
В телевизионной рекламе, в научно-популярных и других фильмах теперь синтезируются движущиеся объекты, визуально мало уступающие тем, которые могут быть получены с помощью кинокамеры. Кроме того, компьютерная графика предоставила киноиндустрии возможности создания спецэффектов, которые в прежние годы были попросту невозможны. В последние годы широко распространилась еще одна сфера применения компьютерной графики - создание виртуальной реальности.
Следует отметить важную роль компьютерной графики при создании пользовательских интерфейсов. Теперь уже практически все системы поддерживают диалог «человек-компьютер» в графическом виде.
Компьютерную графику можно классифицировать по нескольким основным признакам (Рис. 1.1).
Первым классификационным признаком является количество измерений, используемых при создании и обработке изображения. По этому признаку вся компьютерная графика делится на два класса: плоская или двухмерная графика, при работе с которой любое изображение имеет лишь два измерения – ширину и высоту и объемная или трехмерная (3D) графика, которая характеризуется тремя пространственными измерениями – шириной, высотой и глубиной. Наличие у трехмерных изображений координаты глубины дает возможность взглянуть на них с другого ракурса, не перерисовывая при этом самих изображений.
Рис. 1.1. Классификация компьютерной графики
Вторым классификационным признаком является способ формирования изображений, по которому компьютерная графика может быть разделена на растровую, векторную и фрактальную. Основным элементом растровой графики является точка, совокупность точек образует изображение. Векторная графика работает с линиями, которые описываются математически как единый объект. Фрактальная графика, как и векторная, основана на математических вычислениях, однако базовым элементом является сама математическая формула.
Третьим признаком является способность динамического изменения изображения. По данному признаку можно выделить два класса: статическая графика и интерактивная (анимационная) графика. Под интерактивной компьютерной графикой понимают раздел компьютерной графики, изучающий вопросы динамического управления со стороны пользователя содержанием изображения, его формой, размерами и цветом на экране с помощью интерактивных устройств взаимодействия.
Четвертым признаком может служить специализация компьютерной графики в отдельных областях. Так, можно выделить инженерную графику, дизайн-графику, Web-графику и другие области.
В результате развития современных информационных технологий и посредством объединения компьютерных, телевизионных и кинотехнологий сформировалась относительно новая область компьютерной графики – интерактивная (анимационная) графика.
Под интерактивной компьютерной графикой понимают раздел компьютерной графики, изучающий вопросы динамического управления со стороны пользователя содержанием изображения, его формой, размерами и цветом на экране с помощью интерактивных устройств взаимодействия.
1.4 Векторная графика, основные понятия.
Для векторной графики (object-oriented graphics) характерно разбиение изображения на ряд графических примитивов – точка, прямая, ломаная, дуга, полигон. Таким образом, появляется возможность хранить не все точки изображения, а координаты узлов примитивов и их свойства (цвет, связь с другими узлами и т.д.). При использовании векторного представления изображение представляет собой базу данных описаний примитивов. То есть, в составе изображения могут быть отрезки, окружности, овалы, точки, кривые Безье и так далее. А изображение будет представлять из себя массив описаний, например:
Рис.1.3. Пример векторного изображения
Векторное изображение может быть легко масштабировано без потери деталей, т.к. это требует пересчета сравнительно небольшого числа координат узлов.
Векторная графика описывает изображения с использованием прямых и изогнутых линий, называемых векторами, а также параметров, описывающих цвета и расположение. Например, изображение древесного листа описывается точками, через которые проходит линия, создавая тем самым контур листа. Цвет листа задается цветом контура и области внутри этого контура.
Если в растровой графике базовым элементом изображения является точка, то в векторной графике — линия. Линия описывается математически как единый объект, и потому объем данных для отображения объекта средствами векторной графики существенно меньше, чем в растровой графике.
Линия — элементарный объект векторной графики. Как и любой объект, линия обладает свойствами: формой (прямая, кривая), толщиной, цветом, начертанием (сплошная, пунктирная). Окончание линии (то есть ее форма в конечном узле) также выступает одним из свойств с изменяемыми параметрами.
Замкнутые линии приобретают свойство заполнения. Охватываемое ими пространство может быть заполнено другими объектами (текстуры, карты) или выбранным цветом. Заполнение бывает растровым и векторным. В последнем случае иногда используют элементы фрактальной графики, являющейся частным случаем векторной. Основные языки программирования при выводе графических примитивов также используют понятия векторной графики.
Простейшая незамкнутая линия ограничена двумя точками, именуемыми узлами. Узлы имеют ряд свойств, параметры которых влияют на форму конца линии и характер сопряжения с другими объектами. Все прочие объекты векторной графики, в том числе самые сложные, составляют из линий (Рис. 1.4).
Рис. 1.4. Разомкнутый контур, замкнутый контур, комбинированный контур
Для построения объектов векторной графики используют инструменты рисования линий и управления заполнением контуров. Простые объекты могут взаимодействовать различными способами, в том числе с применением булевых операций объединения, вычитания и пересечения.
Эффекты, применимые к объектам векторной графики, воздействуют на свойства линии, заполнения и узлов. В программах векторной графики все эффекты являются модификаторами. Модификатор описывает математическими методами параметры изменения свойств исходного объекта, не затрагивая его основ. Именно на этом базируется возможность многоуровневого «отката», то есть возврата к исходному состоянию объекта.
1.5 Математические основы векторной графики
Рассмотрим подробнее способы представления различных объектов в векторной графике.
Точка. Этот объект на плоскости представляется двумя числами (х, у), указывающими его положение относительно начала координат (Рис. 1.5).
Рис. 1.5. Точка на плоскости в системе координат
Прямая линия. Ей соответствует уравнение у = kx + b. Указав параметры к и b, всегда можно отобразить бесконечную прямую линию в известной системе координат, то есть для задания прямой достаточно двух параметров (Рис. 1.6).
Отрезок прямой. Он отличается тем, что требует для описания еще двух параметров — например, координат х1 и х2 начала и конца отрезка (Рис. 1.6).
Рис. 1.6. Прямая линия и отрезок в системе координат
Кривая второго порядка. К этому классу кривых относятся параболы, гиперболы, эллипсы, окружности, то есть все линии, уравнения которых содержат степени не выше второй (Рис. 1.7). Кривая второго порядка не имеет точек перегиба. Прямые линии являются всего лишь частным случаем кривых второго порядка. Формула кривой второго порядка в общем виде может выглядеть, например, так:
х2 + а1у2 + а2ху + а3х + а4у + а5 = 0
Рис. 1.7. Кривая второго порядка в системе координат
Для описания бесконечной кривой второго порядка достаточно пяти параметров. Если требуется построить отрезок кривой, понадобятся еще два параметра (Рис. 1.8).
Рис. 1.8. Бесконечная кривая второго порядка в системе координат
Кривая третьего порядка. Отличие этих кривых от кривых второго порядка состоит в возможном наличии точки перегиба. Например, график функции у = х3 имеет точку перегиба в начале координат. Именно эта особенность позволяет сделать кривые третьего порядка основой отображения природных объектов в векторной графике. Линии изгиба человеческого тела, контуры пересеченной местности, очертания растений весьма близки к кривым третьего порядка. Все кривые второго порядка, в том числе прямые линии, являются частными случаями кривых третьего порядка.
В общем случае уравнение кривой третьего порядка можно записать так:
х3 + а1у3 + а2х2у + а3ху2 + а4х2 + а5у2 + а6ху + а7х + а8у + а9 = 0
Таким образом, кривая третьего порядка описывается девятью параметрами (Рис. 1.9). Описание ее отрезка потребует на два параметра больше (Рис. 1.10). Несмотря на кажущуюся сложность описания кривой третьего порядка, ее код занимает в файле несравнимо меньше места, чем код аналогичной кривой, но созданной из точек (растровой). Для растровой линии дают описание положения и цвета каждой точки.
Рис. 1.9. Кривая третьего порядка в системе координат
Рис. 1.10. Описание отрезка кривой третьего порядка
Кривые Безье (Bezier). Кривы?е Безье? были разработаны в 60-х годах XX века независимо друг от друга Пьером Безье (Bezier) из автомобилестроительной компании «Рено» и Полем де Кастелье (de Casteljau) из компании «Ситроен», где применялись для проектирования кузовов автомобилей.
Кривая Безье является гладкой кривой, то есть она не имеет разрывов и непрерывно заполняет отрезок между начальной и конечной точками.
Благодаря простоте задания и возможности удобно манипулировать формой, кривые Безье нашли широкое применение в компьютерной графике для моделирования гладких линий. Поскольку кривая полностью определяется своей выпуклой оболочкой из опорных точек, последние могут быть отображены и использоваться для наглядного управления формой линии. Кроме того, аффинные преобразования кривой (перенос, масштабирование, вращение) также легко могут быть осуществлены путём применения трансформаций к опорным точкам. Наличие выпуклой оболочки значительно облегчает задачу о точках пересечения кривых Безье: если не пересекаются выпуклые оболочки, то не пересекаются и сами кривые.
Наибольшее значение имеют кубические кривые Безье. Кривые высших степеней при обработке требуют большего объёма вычислений и для практических целей используются реже. Для построения сложных по форме линий отдельные кривые Безье могут быть последовательно соединены друг с другом в сплайн Безье. Для того, чтобы обеспечить гладкость линии в месте соединения двух кривых, смежные опорные точки обеих кривых должны лежать на одной линии.
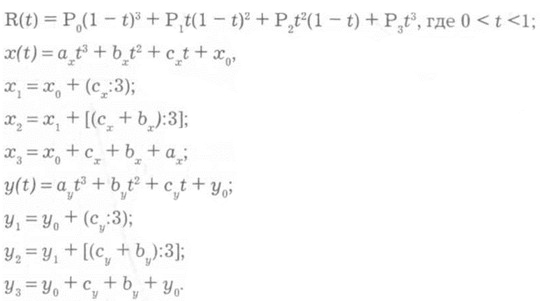
Сегмент кривой Безье третьего порядка описывается положе¬нием четырех точек. Две из них являются опорными (узлами кривой): начальная точка Р0(х0,у0) и конечная точка Р3 (х3,у3). Точки Р1 (х1,у1) и Р2 (х2,у2), определяющие положение касательных относительно отрезка, называют управляющими (Рис. 1.11). Метод построения кривой Безье основан на использовании пары касательных (управляющих линий), проведенных к сегменту кривой в его окончаниях. На форму кривой влияют угол наклона касательной и длина ее отрезка.
Рис. 1.11. Сегмент кривой Безье третьего порядка
Параметрическое уравнение Безье описывает положение точек и, тем самым, форму кривой. Уравнение решают относительно параметра t, принимающего значения от 0 (в начальной точке) до 1 (в конечной точке). При построении сегмента кривой Безье на плоскости рассчитывают координаты х и у (для четырех точек, из них двух управляющих):

Следовательно:

Значение t определяет степень влияния точек на форму кривой (Рис. 1.12 и Рис. 1.13). Например, при t = 0,333 наибольший «вес» приобретает точка Р1(х1, у1), а при t = 0,666 — точка Р2 (х2, у2). Из приведенных уравнений вытекает, что кривая может проходить лишь через начальную и конечную опорные точки сегмента (Р0, Р3). Тем самым достигаются простота описания и стабильность кривой Безье.
Рис. 1.12. Степень влияния точек на форму кривой (1 вариант)
Рис. 1.13. Степень влияния точек на форму кривой (2 вариант)
Кривые Безье обладают рядом свойств, определяющих возможность их использования в векторной графике. С геометрической точки зрения, производной кривой Безье будет другая кривая Безье, векторы управляющих точек которой определяются вычислением разностей векторов управляющих точек исходной кривой.
Основные свойства кривой Безье:
Рис. 1.14. Кривые, расположенные внутри фигуры
Рис. 1.15. Сегмент при наличии двух контрольных точек
Рис. 1.16. Коллинеарное размещение точек
Рис. 1.17. Кривая Безье симметрична
Рис. 1.18. Исходная кривая
Рис. 1.19. Масштабирование и изменение пропорций кривой Безье
Рис. 1.20. Масштабирование и изменение пропорций кривой Безье (вращение)
Рис. 1.21. Масштабирование и изменение пропорций кривой Безье (перекос)
Рис. 1.22. Изменение координат точек
Рис. 1.23. Размещение дополнительных контрольных точек вблизи одной позиции
При редактировании элементов векторной графики изменяют параметры прямых и изогнутых линий, описывающих форму этих элементов. Можно переносить элементы, менять их размер, форму и цвет, но это не отразится на качестве их визуального представления. Векторная графика не зависит от разрешения, т.е. может быть показана в разнообразных выходных устройствах с различным разрешением без потери качества.
Достоинством векторной компьютерной графики является:
Недостатком векторной компьютерной графики является:
Глава 2. Графический редактор CorelDraw X4
Прочитав этот материал, Вы будете:
знать:
уметь:
обладать навыками:
При изучении материала, обратите внимание на следующие основные термины и понятия, которые необходимо запомнить:
Пакет CorelDraw CX4 позволяет работать над всевозможными проектами - от создания логотипа и веб-графики до многостраничных маркетинговых брошюр или привлекательных вывесок.
Окно программы подобно другим графическим редакторам и содержит
Перечислим основные инструменты программы CorelDraw (Рисунок 1):
Обратите внимание, что почти каждая кнопка на панели инструментов содержит группу скрытых кнопок. Выше мы описали только те кнопки, которые вы видите на панели инструментов.
2.3. Сохранение и импортирование рисунков
Основной формат документов CorewDraw – cdr, но вы можете экспортировать выделенный рисунок или весь документы в другие векторные или растровые форматы. Если файл экспортируется в растровый формат, появится диалоговое окно Convert to Bitmap (Конвертирование в растровый формат). В этом окне можно изменить размер, разрешение, а также глубину цвета конечного растрового изображения.
Основным понятием в редакторе СогеlDraw является понятие объекта. Объектом называется элемент изображения: прямая, окружность, прямоугольник, кривая, замкнутая кривая, многоугольник и другие (например, Рисунок 2). Создание объектов
Обычно в CorelDraw заливку имеют только замкнутые фигуры. Группа инструментов Fill (заливка) позволяет выбирать (Рисунок 6)
Двойным щелчком по объекту инструментом Pick Tool (Выбор) можно перейти в режим интерактивного трансформирования: поворот, масштабирование, скос, отражение. Аналогичные действия можно произвести с помощью Докера Transformations (трансформации), но в этом случае возможно задавать численные значения изменений.
В редакторе CorelDraw X4 существует возможность работы с двумя разновидностями текстовых объектов: с фигурным (Artistic) и простым (Paragraph) текстом. Фигурный текст представляет собой рисунок из символов, с которым можно работать, как с любым другим объектом. Простой же текст представляет собой обыкновенный текст в рамке, вставленный в рисунок (Рисунок 7).
В меню Text (Текст) содержатся команды вызова Докеров для выбора параметров форматирования. Может быть отформатирован весь блок, выделенные фрагменты или отдельный символ. Методы и обозначения форматов сходны с форматированием текста в MS Word.
Чтобы ввести простой текст (Paragraph Text), сначала надо создать рамку, в которой текст будет расположен. Если весь текст не поместился в рамку, внизу появится черная стрелка (Рисунок 8). Вы можете увеличить размер рамки или щелкнуть по стрелке, а потом начертить следующий блок (Рисунок 8).
Как только текст будет помещен в рамку, вы можете перемещать и трансформировать текстовый блок с помощью инструмента Рiсk Тоо1 (Выбор). Выделенный блок (или несколько блоков) можно форматировать и редактировать. Можно изменить форму текстового блока, наложив на него эффект оболочки (Envelope).
Простой текст можно разместить внутри замкнутого объекта. Введенный текст можно редактировать и форматировать. Можно также редактировать форму объекта.
Простой текст можно расположить по множеству блоков, задав перетекание текста. Введенный в первый блок текст будет автоматически распределяться по остальным блокам в заданном порядке.
Для ввода фигурного текста следует просто щелкнуть инструментом Текст по нужному месту экрана и начать ввод. Символы фигурного текста можно трансформировать и накладывать на него различные эффекты (Рисунок 9).
Фигурный текст можно расположить вдоль произвольной кривой. Расположенный вдоль кривой текст можно смещать относительно кривой и редактировать (Рисунок 10).
Превращение текста в кривые превращает текстовые символы в обычные рисованные объекты. При этом разрывается связь объекта с определенным шрифтом и, следовательно возможность редактирования текста. «Скривление» текста обычно выполняют перед печатью на другом компьютере.
Для каждого эффекта из меню Effects (Эффекты) можно вызвать свой Докер для настройки параметров. Кроме того для большинства эффектов существуют интерактивные инструменты для настройки.
Созданные эффекты можно копировать на другие объекты.
Созданные эффекты каждый раз перерисовываются заново, что занимает большие ресурсы компьютера. Поэтому после окончательного создания эффектов их желательно превратить в набор объектов командой Arrange -> Break <название эффекта> Apart (Упорядочить -> Разделить…).
Перетекание (Blend/Interactive Blend Tool) позволяет плавно проследить превращение одного объекта в другой через серию промежуточных форм Этот эффект также позволяет создавать перетекание между объектами вдоль заданной траектории (Рисунок 11). Вы можете создавать перетекание между объектами с различной шириной контура, а также между открытой кривой и замкнутым объектом.
Подобие (Contour/Interactive Contour Tool) Эффект подобия во многом похож на перетекание (Blend) одного объекта в другой и одного цвета в другой (Рисунок 12). В отличие от перетекания, подобие применяется к одному объекту, будь это текст или графика, и не располагается вдоль траектории.
Интерактивное искажение (Interactive Distortion Tool) позволяет накладывать три вида искажений и их комбинации на объекты с Безье-контуром. Чем больше узлов имеет контур, тем сложнее получается искажение (Рисунок 13).
Тень (Interactive Drop Shadow Tool) позволяет накладывать падающую тень в различном направлении и разной прозрачности к отдельным объектам.
Оболочка (Envelope/Interactive Envelope Tool) позволяет искажать сгруппировнные объекты и текст, помещая их в оболочку, которую можно редактировать как кривые Безье (Рисунок 9).
Выдавливание (Extrude/Interactive Extrude Tool). Объемные объекты создают иллюзию глубины. Чтобы создать эту иллюзию, CorelDraw X4 проецирует точки вдоль краев объекта и соединяет эти точки для формирования поверхностей (Рисунок 14). Эти поверхности формируют динамическую группу, связанную с контрольным объектом (объект, к которому применяется выдавливание), и автоматически обновляются при изменении контрольного объекта. К объемным объектам можно применять разные способы заливки и накладывать светотени, выбирая источники освещения.
Прозрачность (Interactive Transparency Tool). Прозрачность делает объект частично видимым и частично прозрачным для нижних объектов. Прозрачность может быть равномерная или более сложная (фонтанная, текстурная). Более сложными могут быть и способы получения результирующего цвета (Рисунок 15): сложением, умножением и т.д. цветов.
Линза (Lens). Эффект Lens (Линза) дает быстрый способ моделирования прозрачности, увеличения/уменьшения, цветовой фильтрации, негативов, полутонового изображения и т.д. (Рисунок 16). Линза может использоваться с объектами, содержащими однородные и градиентные заливки. Линзой можно сделать любой залитый объект.
Контейнер (PowerClip) позволяет сделать невидимыми части рисунка, выходящие за рамки контейнера. Рисунок может быть растровым, векторным, текстовым. Контейнер должен быть простым объектом.
Перспектива (Add Perspective) позволяет накладывать перспективу на группы объектов и фигурный текст. Редактировать эффект можно не только по расположению углов, но и по точкам схода.
Рисунок 1. Toolbar (Панель инструментов) CorelDraw X4.
Рисунок 2. Основные составляющие векторного рисунка.
Рисунок 3. Редактирование сегмента кривой инструментом Shape (Форма).
Рисунок 4. Формообразование. Вверху Weld (Соединение), внизу Back minus Front (Низ минус Верх).
Рисунок 5. Создание композиции с помощью мазков инструмента Художественное оформление, текста и редактирования примитивов.
Рисунок 6. Заливки: фонтанная, узорная, текстурная, сетчатая (процесс редактирования).
Рисунок 7. Фигурный и постой тексты.
Рисунок 8. Создание перетекания между блоками (внизу вид указателя мыши для создания следующего блока).
Рисунок 9. Искажение формы символов фигурного текста с помощью эффекта оболочки.
Рисунок 10. редактирование текста, расположенного вдоль кривой.
Рисунок 11. Перетекание объектов: с заданным расстоянием, создание переходов цвета, перетекание вдоль пути.
Рисунок 12. Применение эффектов Подобие к тексту и кругу.
Рисунок 13. Различные виды интерактивного искажение круга.
Рисунок 14. Выдавливание
Рисунок 15. Прозрачность: без прозрачности, линейная прозрачность в режиме «вычитание», линейная прозрачность в режиме «норма», наложение узора в режиме «умножение».
Рисунок 16. Различные линзы.
Контрольные вопросы по материалу Главы 2: